Hỗ trợ tư vấn
Tư vấn - Giải đáp - Hỗ trợ đặt tài liệu
Mua gói Pro để tải file trên Download.vn (không bao gồm tài liệu cao cấp) và trải nghiệm website không quảng cáo
Tìm hiểu thêm »
SỞ GIÁO DỤC VÀ ĐÀO TẠO
|
KỲ THI CHỌN HSG GIẢI TOÁN TRÊN MÁY TÍNH CẦM TAY
|
Chú ý:
- Tất cả các giá trị gần đúng lấy 5 chữ số thập phân không làm tròn.
- Thí sinh có thể không ghi tóm tắt cách giải.
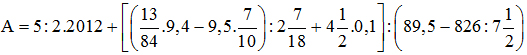
Bài 1:
Tính:
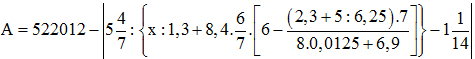
Bài 2:
Cho:
Bài 3:
Cho a = 2269176843; b = 3955998567; c = 20081211
Tìm ƯCLN (a, b, c).
Bài 4:
Tìm số tự nhiên n biết: 3n + 3n+1 + 3n+2 + 3n+3 = 7085880
Bài 5:
Hãy chia số 9876543210 thành bốn phần tỉ lệ nghịch với các số 2; 3/2; 4/3; 5/4
Bài 6:
Cho tam giác ABC có A = 3B/5; B = 6C/7. Tính số đo các góc của tam giác ABC (làm tròn đến phút).
Bài 7:
Tìm ba số x, y, z biết: x - y + z = 2012; x và y tỉ lệ thuận với 5 và 2; y và z tỉ lệ nghịch với 2012 và 52.
Bài 8:
Với giá trị nào của x thì biểu thức A có giá trị lớn nhất?

Bài 9:
Tính chính xác kết quả phép nhân: 77775555.77779999
Bài 10:
Cho
. Hãy tìm các số tự nhiên n để A là số tự nhiên.
Download tài liệu để xem thêm chi tiết
Theo Nghị định 147/2024/ND-CP, bạn cần xác thực tài khoản trước khi sử dụng tính năng này. Chúng tôi sẽ gửi mã xác thực qua SMS hoặc Zalo tới số điện thoại mà bạn nhập dưới đây: