Hỗ trợ tư vấn
Tư vấn - Giải đáp - Hỗ trợ đặt tài liệu
Mua gói Pro để tải file trên Download.vn (không bao gồm tài liệu cao cấp) và trải nghiệm website không quảng cáo
Tìm hiểu thêm »Bộ đề thi tuyển sinh vào lớp 6 trường THCS Thắng Lợi, Hà Nội là tài liệu vô cùng bổ ích dành cho các em học sinh tham khảo để củng cố thêm kiến thức nhằm chuẩn bị cho kỳ thi tuyển sinh vào lớp 6 sắp tới. Hi vọng tài liệu này sẽ giúp ích nhiều trong việc ôn tập của các em. Chúc các em đạt được kết quả cao trong kì thi sắp tới.
|
TRƯỜNG THCS THẮNG LỢI |
ĐỀ THI KHẢO SÁT LỚP 6 MÔN : Ngữ văn (Thời gian làm bài: 90 phút) |
Câu 1: (1,5 điểm)
Tìm từ đơn, từ láy, từ ghép trong hai câu thơ sau:
“Dưới trăng quyên đã gọi hè
Đầu tường lửa lựu lập lòe đơm bông”
(Trích Truyện Kiều - Nguyễn Du)
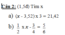
Câu 2: (1,5 điểm)
Hãy tìm các danh từ, động từ, tính từ trong các câu sau và chỉ ra chức vụ của chúng trong câu:
Đến bây giờ, Vân vẫn không quên được khuôn mặt hiền từ, mái tóc bạc, đôi mắt đầy yêu thương và lo lắng của ông.
Câu 3 (2 điểm)
Em hãy tìm và phân tích giá trị biểu đạt của các biện pháp tu từ trong hai câu thơ sau:
Bà như quả ngọt chí rồi
Càng thêm tuổi tác, càng tươi lòng vàng.
(Quả ngọt cuối mùa - Võ Thanh An)
Câu 4: (5 điểm)
Em hãy tả lại một buổi sáng mùa xuân đẹp trời trên quê hương em.
------------------- Hết ------------------
|
TRƯỜNG THCS THẮNG LỢI |
ĐỀ THI KHẢO SÁT LỚP 6 MÔN : TOÁN (Thời gian làm bài: 90 phút) |
Câu 1: (2đ) Tính (hoặc tính nhanh)
a) 21 + 68 + 279 + 132
b) 35 x 17 + 84 x 35 - 35


Câu 3: (2,5đ)
Một xưởng sản xuất có 200 người chia làm 3 tổ. Số người ở Tổ I và Tổ II gấp 3 lần số người ở Tổ 3. Nếu Tổ I bớt đi 10 người thì số người ở Tổ I bằng số người ở Tổ II. Hỏi mỗi tổ có bao nhiêu người.
Câu 4: (3đ)
Cho tam giác ABC vuông ở A( như hình vẽ)
Cạnh Ab = 60cm; cạnh AC = 80cm; cạnh BC = 100cm
Biết MN song song với BC, NH = 12cm
a. Tính S∆ABC; S∆BNC
b. Tính S ∆ABN và độ dài AN
c. Tính S ∆AMN
.....
Download file tài liệu để xem thêm nội dung chi tiết
Theo Nghị định 147/2024/ND-CP, bạn cần xác thực tài khoản trước khi sử dụng tính năng này. Chúng tôi sẽ gửi mã xác thực qua SMS hoặc Zalo tới số điện thoại mà bạn nhập dưới đây: