Hỗ trợ tư vấn
Tư vấn - Giải đáp - Hỗ trợ đặt tài liệu
Mua gói Pro để tải file trên Download.vn (không bao gồm tài liệu cao cấp) và trải nghiệm website không quảng cáo
Tìm hiểu thêm »Bài tập trắc nghiệm hệ sinh thái gồm 60 câu hỏi, có đáp án kèm theo, giúp các em học sinh nắm chắc kiến thức trọng tâm, quan trọng nhất của môn Sinh học để ôn thi THPT Quốc gia 2024 hiệu quả hơn.
Bộ câu hỏi trắc nghiệm hệ sinh thái môn Sinh học gồm 30 trang, với các mức độ nhận biết, thông hiểu, vận dụng thấp và vận dụng cao, giúp các em luyện trả lời câu hỏi trắc nghiệm thật thành thạo. Ngoài ra, có thể tham khảo trắc nghiệm lý thuyết Sinh học, Hóa học,... Mời các em cùng theo dõi bài viết dưới đây của Download.vn:
Câu 1:
Ví dụ nào sau đây thể hiện quan hệ cạnh tranh giữa các cá thể trong quần thể sinh vật?
A. Các cây thông nhựa liền rễ sinh trưởng nhanh hơn các cây thông nhựa sống riêng rẽ
B. Bồ nông đi kiếm ăn theo đàn bắt được nhiều cá hơn bồ nông đi kiếm ăn riêng rẽ.
C. Vào mùa sinh sản, các con cò cái trong đàn tranh giành nơi làm tổ.
D. Tảo giáp nở hoa gây độc cho tôm, cá sống trong cùng một môi trường.
Câu 2:
Trong môi trường sống có một xác chết của sinh vật là xác của một cây thân gỗ. Xác chết của sinh vật nằm trong tổ chức sống nào sau đây?
A. Quần thể.
B. Quần xã.
C. Vi sinh vật
D. Hệ sinh thái
Câu 3:
Khi nói về hỗ trợ cùng loài, có bao nhiêu phát biểu sau đây đúng?
I. Các cá thể cùng loài hỗ trợ nhau trong các hoạt động sống như lấy thức ăn, chống kẽ thù, sinh sản,..
II. Quan hệ hỗ trợ giữa giữa các cá thể trong quần thể đảm bảo cho quần thể tồn tại một cách ổn định và khai thác được tối ưu nguồn sống của môi trường, làm tăng khả năng sống sót và sinh sản của các cá thể.
III. Ở quần thể thực vật, những cây sống theo nhóm chịu đựng được gió bão là biểu hiện của hỗ trợ cùng loài.
IV. Hỗ trợ cùng loài làm tăng mật độ cá thể nên dẫn tới làm tăng sự cạnh tranh trong nội bộ quần thể
A. 1.
B. 2.
C. 3.
D. 4.
Câu 4:
Khi nói về mối quan hệ giữa vật ăn thịt và con mồi, phát biểu nào sau đây đúng?
A. Quần thể vật ăn thịt luôn có số lượng cá thể nhiều hơn quần thể con mồi.
B. Quần thể vật ăn thịt luôn có số lượng cá thể ổn định, còn quần thể con mồi luôn biến động
C. Cả 2 quần thể biến động theo chu kì, trong đó quần thể vật ăn thịt luôn biến động trước.
D. Quần thể con mồi bị biến động về số lượng thì sẽ kéo theo quần thể vật ăn thịt biến động theo
Câu 5:
Có 4 quần thể của cùng một loài cỏ sống ở 4 môi trường khác nhau, quần thể sống ở môi trường nào sau đây có kích thước lớn nhất
A. Quần thể sống trong môi trường có diện tích 800m2 và có mật độ 34 cá thể/1m2
B. Quần thể sống trong môi trường có diện tích 2150m2 và có mật độ 12 cá thể/1m2
C. Quần thể sống trong môi trường có diện tích 835m2 và có mật độ 33 cá thể/1m2
D. Quần thể sống trong môi trường có diện tích 3050m2 và có mật độ 9 cá thể/1m2
Câu 6:
Trong các thông tin sau, diễn thế thứ sinh có bao nhiêu thông tin sau đây?
I. Xuất hiện ở môi trường trống trơn (chưa có quần xã sinh vật từng sống).
II. Có sự biến đổi tuần tự của quần xã qua các giai đoạn tương ứng với sự biến đổi của môi trường.
III. Song song với quá trình biến đổi quần xã trong diễn thế là quá trình biến đổi về các điều kiện tự nhiên của môi trường.
IV. Kết quả cuối cùng sẽ hình thành một quần xã đỉnh cực.
V. Song song với quá trình diễn thế, có sự biến đổi về cấu trúc của quần xã sinh vật.
VI. Quá trình diễn thế có thể do tác động của nhân tố bên ngoài quần xã hoặc do tác động của quần xã.
A. 2
B. 5
C. 4
D. 3
Câu 7:
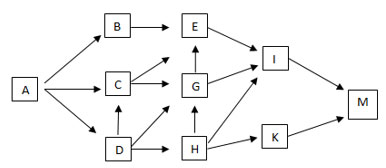
Sơ đồ sau đây mô tả lưới thức ăn của một hệ sinh thái trên cạn.

Có bao nhiêu phát biểu sau đây đúng?
I. Chuỗi thức ăn dài nhất có 7 mắt xích.
II. Quan hệ giữa loài C và loài E là quan hệ cạnh tranh khác loài.
III. Tổng sinh khối của loài A lớn hơn tổng sinh khối của 9 loài còn lại.
IV. Nếu loài C bị tuyệt diệt thì loài D sẽ bị giảm số lượng cá thể.
A. 1
B. 4.
C. 3.
D. 2.
Câu 8:
Quan sát số lượng cây cỏ mực ở trong một quần xã sinh vật, người ta đếm được 32 cây/m2. Số liệu trên cho ta biết được đặc trưng nào của quần thể?
A. Tỷ lệ đực/cái.
B. Thành phần nhóm tuổi.
C. Sự phân bố cá thể.
D. Mật độ cá thể.
Câu 9:
Sinh quyển là
A. toàn bộ sinh vật sống trong các lớp đất, nước và không khí.
B. môi trường sống của tất cả các sinh vật ở trên trái đất.
C. vùng khí quyển có sinh vật sinh sống và phát triển.
D. toàn bộ sinh vật của trái đất, bao gồm động vật, thực vật, vi sinh vật.
Câu 10:
Khi nói về sự phân bố cá thể trong quần thể, phát biểu nào sau đây đúng?
A. Trong mỗi quần thể, phân bố đồng đều xảy ra khi môi trường không đồng nhất và cạnh tranh cùng loài diễn ra khốc liệt.
B. Về mặt sinh thái, sự phân bố đồng đều có ý nghĩa giảm sự cạnh tranh gay gắt giữa các cá thể trong quần thể.
C. Phân bố theo nhóm là dạng trung gian của phân bố ngẫu nhiên và phân bố đồng đều.
D. Phân bố ngẫu nhiên là kiểu phân bố phổ biến nhất vì khi phân bố ngẫu nhiên thì sinh vật khai thác tối ưu nguồn sống môi trường.
Câu 11:
Khi nói về lưới thức ăn, phát biểu nào sau đây đúng?
A. Trong một lưới thức ăn, mỗi bậc dinh dưỡng thường chỉ có 1 loài sinh vật.
B. Trong một lưới thức ăn, động vật ăn thịt thường là bậc dinh dưỡng cấp 1.
C. Hệ sinh thái nhân tạo thường có lưới thức ăn phức tạp hơn hệ sinh thái tự nhiên.
D. Mỗi loài sinh vật có thể thuộc nhiều bậc dinh dưỡng khác nhau.
Câu 12:
Khi nói về cạnh tranh giữa các cá thể cùng loài, có bao nhiêu phát biểu sau đây đúng?
I. Cạnh tranh cùng loài giúp duy trì ổn định số lượng và sự phân bố cá thể ở mức phù hợp với sức chứa môi trường.
II. Khi môi trường khan hiếm nguồn sống và mật độ cá thể quá cao thì cạnh tranh cùng loài diễn ra khốc liệt.
III. Cạnh tranh cùng loài tạo động lực thúc đẩy sự tiến hóa của loài.
IV. Cạnh tranh cùng loài làm mở rộng ổ sinh thái của loài, tạo điều kiện để loài phân li thành loài mới.
A. 2.
B. 4.
C. 3.
D. 1.
Câu 13:
Khi nói về thành phần của hệ sinh thái, có bao nhiêu phát biểu sau đây đúng?
I. Một hệ sinh thái luôn có các loài sinh vật và môi trường sống của sinh vật.
II. Tất cả các loài thực vật đều được xếp vào nhóm sinh vật sản xuất.
III. Sinh vật phân giải có chức năng chuyển hóa chất vô cơ thành chất hữu cơ để cung cấp cho các sinh vật tiêu thụ trong hệ sinh thái.
IV. Xác chết của sinh vật được xếp vào thành phần hữu sinh của hệ sinh thái.
A. 4.
B. 2.
C. 1.
D. 3.
Câu 14:
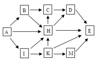
Một lưới thức gồm có 9 loài được mô tả như hình bên. Theo lí thuyết, có bao nhiêu phát biểu sau đây đúng?

I. Có 15 chuỗi thức ăn.
II. Chuỗi thức ăn dài nhất có 6 mắt xích.
III. Nếu loài K bị tuyệt diệt thì loài lưới thức ăn này có tối đa 7 loài.
IV. Nếu loài E bị con người đánh bắt làm giảm số lượng thì loài M sẽ tăng số lượng.
A. 4.
B. 2.
C. 1.
D. 3.
Câu 15:
Trong quần thể, kiểu phân bố thường hay gặp nhất là
A. phân bố ngẫu nhiên
B. phân bố theo nhóm
C. phân bố đồng đều.
D. phân tầng.
Câu 16:
Trong các quần xã sinh vật sau đây, quần xã nào thường có sự phân tầng mạnh nhất?
A. Quần xã rừng lá rộng ôn đới.
B. Quần xã đồng rêu hàn đới.
C. Quần xã đồng cỏ.
D. Quần xã đồng ruộng có nhiều loài cây
Câu 17:
Khi nói về nhân tố sinh thái hữu sinh, phát biểu nào sau đây đúng?
A. Tất cả các nhân tố của môi trường có ảnh hưởng đến sinh vật thì đều được gọi là nhân tố hữu sinh
B. Chỉ có mối quan hệ giữa sinh vật này với sinh vật khác thì mới được gọi là nhân tố hữu sinh
C. Nhân tố hữu sinh bao gồm mối quan hệ giữa sinh vật với sinh vật và thế giới hữu cơ của môi trường
D. Những nhân tố vật lý, hóa học có ảnh hưởng đến sinh vật thì cũng được xếp vào nhân tố hữu sinh.
Câu 18:
Diễn thế nguyên sinh có bao nhiêu đặc điểm sau đây?
I. Bắt đầu từ một môi trường chưa có sinh vật.
II. Được biến đổi tuần tự qua các quần xã trung gian.
III. Quá trình diễn thế gắn liền với sự phá hại môi trường.
IV. Kết quả cuối cùng thường sẽ hình thành quần xã đỉnh cực.
A. 2.
B. 3.
C. 1.
D. 4.
Câu 19:
Khi nói về quan hệ cạnh tranh giữa các cá thể sinh vật, có bao nhiêu phát biểu sau đây đúng?
I. Cạnh tranh cùng loài và cạnh tranh khác loài đều dẫn tới làm hại cho loài.
II. Khi mật độ cá thể của quần thể vượt quá sức chịu đựng của môi trường, các cá thể cạnh tranh với nhau làm giảm khả năng sinh sản.
III. Nhờ có cạnh tranh mà số lượng và sự phân bố các cá thể trong quần thể duy trì ở mức độ phù hợp, đảm bảo cho sự tồn tại và phát triển của quần thể.
IV. Cạnh tranh cùng loài, ăn thịt đồng loại giữa các cá thể trong quần thể là những trường hợp gây ra sự chọn lọc tự nhiên.
V. Khi mật độ cao và nguồn sống khan hiếm, các cá thể cùng loài có khuynh hướng cạnh tranh nhau để giành thức ăn, nơi ở, nơi sinh sản
A. 4.
B. 3.
C. 1.
D. 2.
Câu 20:
Có bao nhiêu ví dụ sau đây phản ánh mối quan hệ ức chế - cảm nhiễm?
I. Tảo giáp nở hoa gây độc cho cá, tôm, chim ăn cá.
II. Cây phong lan sống bám trên thân cây gỗ.
III. Cây tỏi tiết chất gây ức chế hoạt động của các sinh vật xung quanh.
IV. Cú và chồn cùng sống trong rừng, cùng bắt chuột làm thức ăn.
A. 1.
B. 2.
C. 3.
D. 4.
Câu 21:
Giả sử một quần xã có lưới thức ăn gồm 7 loài được kí hiệu là: A, B, C, D, E, G, H. Trong đó loài A là sinh vật sản xuất, các loài còn lại là sinh vật tiêu thụ. Theo lí thuyết, có bao nhiêu phát biểu sau đây đúng khi nói về lưới thức ăn này?

I. Chuỗi thức ăn dài nhất có 6 bậc dinh dưỡng.
II. Có tổng số 11 chuỗi thức ăn.
III. Nếu loại bỏ bớt cá thể của loài A thì tất cả các loài còn lại đều giảm số lượng cá thể.
IV. Nếu loài A bị nhiễm độc ở nồng độ thấp thì loài H sẽ bị nhiễm độc ở nồng độ cao hơn so với loài A.
A. 1.
B. 3.
C. 4.
D. 2.
Câu 22:
Trong giới hạn sinh thái, ở vị trí nào sau đây sinh vật phát triển tốt nhất?
A. Khoảng cực thuận
B. Khoảng chống chịu.
C. Điểm gây chết trên
D. Điểm gây chết dưới
Câu 23:
Xét chuỗi thức ăn: Cây ngô → Sâu → Nhái → Rắn → Đại bàng. Trong chuỗi thức ăn này, loài nào được xếp vào sinh vật tiêu thụ bậc 2?
A. Rắn.
B. Đại bàng
C. Nhái.
D. Sâu.
Câu 24:
Khi nói về tỉ lệ giới tính của quần thể, phát biểu nào sau đây đúng?
A. Tỉ lệ giới tính là một đặc trưng của quần thể, luôn được duy trì ổn định và không thay đổi theo thời gian
B. Tất cả các loài sinh vật khi sống trong một môi trường thì có tỉ lệ giới tính giống nhau.
C. Ở tất cả các loài, giới tính đực thường có tỉ lệ cao hơn so với giới tính cái.
D. Tỉ lệ giới tính ảnh hưởng đến tỉ lệ sinh sản của quần thể.
Câu 25:
Khi nói về chu trình tuần hoàn vật chất trong tự nhiên, có bao nhiêu phát biểu sau đây đúng?
I. Nitơ từ môi trường thường được thực vật hấp thụ dưới dạng nitơ phân tử.
II. Cacbon từ môi trường đi vào quần xã dưới dạng cacbon đioxit.
III. Nước là một loại tài nguyên tái sinh.
IV. Vật chất từ môi trường đi vào quần xã, sau đó trở lại môi trường.
A. 3.
B. 2.
C. 1.
D. 4.
Câu 26:
Khi nói về giới hạn sinh thái và ổ sinh thái của các loài, có bao nhiêu phát biểu sau đây đúng?
I. Các loài sống trong một môi trường thì sẽ có ổ sinh thái trùng nhau.
II. Các loài có ổ sinh thái giống nhau, khi sống trong cùng một môi trường thì sẽ cạnh tranh với nhau.
III. Giới hạn sinh thái về nhiệt độ của các loài sống ở vùng nhiệt đới thường rộng hơn các loài sống ở vùng ôn đới.
IV. Loài có giới hạn sinh thái rộng về nhiều nhân tố thì thường có vùng phân bố hạn chế.
A. 3.
B. 2.
C. 1.
D. 4.
Câu 27:
Khi nói về thành phần cấu trúc của hệ sinh thái, có bao nhiêu phát biểu sau đây đúng?
I. Tất cả các loài thú đều được xếp và nhóm sinh vật tiêu thụ.
II. Tất cả các loài vi khuẩn đều được xếp vào nhóm sinh vật phân giải.
III. Xác chết của sinh vật được xếp vào thành phần vô cơ của môi trường.
IV. Chỉ có các loài thực vật mới được xếp vào nhóm sinh vật sản xuất.
A. 4.
B. 3.
C. 2.
D. 1
Câu 28:
Một quần thể sóc sống trong môi trường có tổng diện tích 185 ha và mật độ cá thể tại thời điểm cuối năm 2012 là 12 cá thể/ha. Cho rằng không có di cư, không có nhập cư. Theo lí thuyết, có bao nhiêu phát biểu sau đây đúng?
I. Tại thời điểm cuối năm 2012, quần thể có tổng số 2220 cá thể.
II. Nếu tỉ lệ sinh sản là 12%/năm; tỉ lệ tử vong là 9%/năm thì sau 1 năm quần thể có số cá thể ít hơn 2250.
III. Nếu tỉ lệ sinh sản là 15%/năm; tỉ lệ tử vong là 10%/năm thì sau 2 năm quần thể có mật độ là 13,23 cá thể/ha.
IV. Sau một năm, nếu quần thể có tổng số cá thể là 2115 cá thể thì chứng tỏ tỉ lệ sinh sản thấp hơn tỉ lệ tử vong.
A. 1.
B. 2.
C. 3.
D. 4.
Câu 29:
Khi nói về ổ sinh thái, phát biểu nào sau đây sai?
A. Hai loài có ổ sinh thái khác nhau thì không cạnh tranh nhau.
B. Cùng một nơi ở luôn chỉ chứa một ổ sinh thái.
C. Sự hình thành loài mới gắn liền với sự hình thành ổ sinh thái mới.
D. Cạnh tranh cùng loài là nguyên nhân chính làm mở rộng ổ sinh thái của mỗi loài.
Câu 30:
Khi nói về chuỗi thức ăn và lưới thức ăn trong quần xã sinh vật, phát biểu nào sau đây đúng?
A. Trong tự nhiên, chỉ có một loại chuỗi thức ăn được khởi đầu bằng sinh vật tự dưỡng.
B. Khi đi từ vĩ độ thấp đến vĩ độ cao, cấu trúc của lưới thức ăn ở các hệ sinh thái càng trở nên phức tạp hơn.
C. Trong một quần xã sinh vật, mỗi loài có thể tham gia vào nhiều chuỗi thức ăn khác nhau.
D. Quần xã sinh vật càng đa dạng về thành phần loài thì các chuỗi thức ăn càng có ít mắt xích chung.
Câu 31:
Khi nói về cạnh tranh cùng loài, phát biểu nào sau đây đúng?
A. Cạnh tranh cùng loài có thể sẽ góp phần làm tăng tỉ lệ sinh sản của quần thể.
B. Cạnh tranh cùng loài chỉ xảy ra khi mật độ cá thể cao và môi trường cung cấp đủ nguồn sống.
C. Cạnh tranh cùng loài giúp duy trì ổn định số lượng cá thể của quần thể, phù hợp sức chứa của môi trường.
D. Cạnh tranh cùng loài là nguyên nhân làm cho loài bị suy thoái và có thể dẫn tới diệt vong.
Câu 32:
Mối quan hệ cộng sinh và mối quan hệ kí sinh luôn có chung đặc điểm nào sau đây?
A. Có ít nhất một loài có lợi.
B. Hai loài có kích thước cơ thể tương đương nhau.
C. Một loài luôn có hại.
D. Chỉ xảy ra khi hai loài có ổ sinh thái trùng nhau.
Câu 33:
Khi nói về giới hạn sinh thái và ổ sinh thái của các loài, có bao nhiêu phát biểu sau đây đúng?
I. Khi sống trong cùng một môi trường, các loài đều có giới hạn sinh thái giống nhau.
II. Những loài có ổ sinh thái trùng nhau thì sẽ có sự cạnh tranh nhau.
III. Loài có giới hạn sinh thái rộng về nhân tố sinh thái này thì sẽ hẹp về nhân tố sinh thái khác.
IV. Các nhân tố sinh thái của môi trường thường rộng hơn giới hạn sinh thái của loài.
A. 1.
B. 2.
C. 3.
D. 4.
Câu 34:
Khi nói về diễn thế sinh thái của quần xã trên cạn, có bao nhiêu phát biểu sau đây đúng?
I. Quá trình diễn thế nguyên sinh luôn dẫn tới làm thay đổi cấu trúc của mạng lưới dinh dưỡng.
II. Trong một quần xã đỉnh cực, tổng sinh khối của sinh vật sản xuất luôn lớn hơn tổng sinh khối của sinh vật tiêu thụ.
III. Kết quả của quá trình diễn thế thứ sinh luôn dẫn tới hình thành quần xã suy thoái.
IV. Nếu loài ưu thế bị tiêu diệt thì thường sẽ dẫn tới diễn thế sinh thái.
A. 3.
B. 1.
C. 2.
D. 4.
.....................
Mời các bạn cùng tham khảo nội dung chi tiết tại file dưới đây!
Theo Nghị định 147/2024/ND-CP, bạn cần xác thực tài khoản trước khi sử dụng tính năng này. Chúng tôi sẽ gửi mã xác thực qua SMS hoặc Zalo tới số điện thoại mà bạn nhập dưới đây: