Hỗ trợ tư vấn
Tư vấn - Giải đáp - Hỗ trợ đặt tài liệu
Mua gói Pro để tải file trên Download.vn (không bao gồm tài liệu cao cấp) và trải nghiệm website không quảng cáo
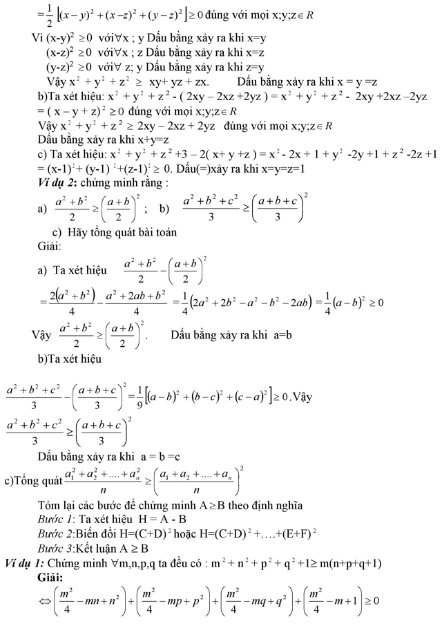
Tìm hiểu thêm »Chứng minh bất đẳng thức là một trong những loại toán gây khó khăn cho học sinh. Sau đây, Download.vn xin giới thiệu đến quý thầy cô cùng các em học sinh tài liệu Tuyển tập 19 phương pháp chứng minh bất đẳng thức được chúng tôi tổng hợp chính xác và đăng tải ngay sau đây. Đây là bộ tài liệu vô cùng hữu ích, giúp các em học sinh củng cố, hệ thống lại kiển thức. Mời các bạn cùng tham khảo và tải 19 phương pháp chứng minh bất đẳng thức tại đây.


Download file tài liệu để xem thêm nội dung chi tiết.
Theo Nghị định 147/2024/ND-CP, bạn cần xác thực tài khoản trước khi sử dụng tính năng này. Chúng tôi sẽ gửi mã xác thực qua SMS hoặc Zalo tới số điện thoại mà bạn nhập dưới đây: