Hỗ trợ tư vấn
Tư vấn - Giải đáp - Hỗ trợ đặt tài liệu
Mua gói Pro để tải file trên Download.vn (không bao gồm tài liệu cao cấp) và trải nghiệm website không quảng cáo
Tìm hiểu thêm »“Tuyển tập đề thi học sinh giỏi toán lớp 9” bao gồm đề thi học sinh giỏi môn toán lớp 9 trong nhiều năm trở lại đây, giúp các em học sinh chuẩn bị sẵn sàng cho các kì thi quan trọng như thi học sinh giỏi cấp tỉnh, thành phố hay thi vào lớp 10 chuyên. Mời các em cùng tham khảo.
|
SỞ GIÁO DỤC VÀ ĐÀO TẠO |
KỲ THI CHỌN HỌC SINH GIỎI LỚP 9
|
Môn thi: TOÁN
Thời gian: 150 phút (không tính thời gian giao đề)
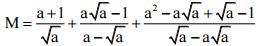
Bài 1. (2,0 điểm)
Cho biểu thức:
![]()
với a > 0, a ≠ 1.
a) Chứng minh rằng M > 4.
b) Với những giá trị nào của a thì biểu thức N = 6/M nhận giá trị nguyên?
Bài 2. (2,0 điểm)
a) Cho các hàm số bậc nhất: y = 0,5x + 3, y = 6 - x và y = mx có đồ thị lần lượt là các đường thẳng (d1), (d2) và (Δm). Với những giá trị nào của tham số m thì đường thẳng (Δm) cắt hai đường thẳng (d1) và (d2) lần lượt tại hai điểm A và B sao cho điểm A có hoành độ âm còn điểm B có hoành độ dương?
b) Trên mặt phẳng tọa độ Oxy, cho M và N là hai điểm phân biệt, di động lần lượt trên trục hoành và trên trục tung sao cho đường thẳng MN luôn đi qua điểm cố định I(1; 2). Tìm hệ thức liên hệ giữa hoành độ của M và tung độ của N; từ đó, suy ra giá trị nhỏ nhất của biểu thức
![]()
Bài 3. (2,0 điểm)
a) Giải hệ phương trình:

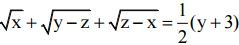
b) Tìm tất cả các giá trị của x, y, z sao cho:
![]()
Bài 4. (3,0 điểm)
Cho đường tròn (C) với tâm O và đường kính AB cố định. Gọi M là điểm di động trên (C) sao cho M không trùng với các điểm A và B. Lấy C là điểm đối xứng của O qua A. Đường thẳng vuông góc với AB tại C cắt đường thẳng AM tại N. Đường thẳng BN cắt đường tròn (C ) tại điểm thứ hai là E. Các đường thẳng BM và CN cắt nhau tại F.
a) Chứng minh rằng các điểm A, E, F thẳng hàng.
b) Chứng minh rằng tích AM×AN không đổi.
c) Chứng minh rằng A là trọng tâm của tam giác BNF khi và chỉ khi NF ngắn nhất.
Bài 5. (1,0 điểm)
Tìm ba chữ số tận cùng của tích của mười hai số nguyên dương đầu tiên.
Theo Nghị định 147/2024/ND-CP, bạn cần xác thực tài khoản trước khi sử dụng tính năng này. Chúng tôi sẽ gửi mã xác thực qua SMS hoặc Zalo tới số điện thoại mà bạn nhập dưới đây: