Hỗ trợ tư vấn
Tư vấn - Giải đáp - Hỗ trợ đặt tài liệu
Mua gói Pro để tải file trên Download.vn (không bao gồm tài liệu cao cấp) và trải nghiệm website không quảng cáo
Tìm hiểu thêm »ĐẠI HỌC KINH TẾ QUỐC DÂN - THÁNG 5/2013 - HÀ NỘI
Câu 1 (1 điểm)
Cho hàm cầu của một doanh nghiệp độc quyền: D = 12M0,7p˗0,3, trong đó D là lượng cầu, M là thu nhập, p là giá. Nếu cả thu nhập M và p cùng tăng 1% thì lượng cầu thay đổi bao nhiêu %; tổng doanh thu của doanh nghiệp thay đổi bao nhiêu %?
Câu 2 (1 điểm)
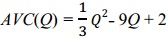
Một doanh nghiệp cạnh tranh hoàn hảo có hàm chi phí biến đổi bình quân:
, trong đó Q là sản lượng của doanh nghiệp.
a) Xác định mức sản lượng Q* để tối đa hóa lợi nhuận của doanh nghiệp khi giá bán hàng hóa trên thị trường p = 90.
b) Tại mức sản lượng Q* tìm được trong câu a) tính chi phí cận biên của doanh nghiệp.
Câu 3 (3 điểm)
Một doanh nghiệp có hàm sản xuất: Q = 1,5KαL0,4 trong đó Q là sản lượng, K là vốn, L là lao động, 0 < α < 1.
a) Xác định α nếu biết rằng tại mức K = 2, L = 4 tỉ lệ thay thế cận biên của vốn cho lao động là 1/3.
b) Với α = 0,6 và doanh nghiệp dự kiến mức sản lượng Q0 = 120, xác định mức sử dụng vốn và lao động để cực tiểu hóa chi phí của doanh nghiệp, biết giá vốn pK = 3 và giá lao động pL = 2.
c) Với kết quả từ câu b), khi giá pK, pL và sản lượng Q0 đồng thời tăng 1,5% thì chi phí tối thiểu thay đổi như thế nào?
Câu 4 (2 điểm)
Phòng y tế quận A đã tiến hành tiêm phòng viêm gan B cho 5000 người của quận này. Kiểm tra ngẫu nhiên 1500 người của quận A thấy có 800 người đã tiêm phòng viêm gan B, trong đó có 500 người được tiêm phòng ở phòng y tế quận A.
a) Với độ tin cậy 95%, ước lượng số người tối thiểu của quận A đã được tiêm phòng viêm gan B.
b) Với mức ý nghĩa 5%, có thể cho rằng trên 50% số người của quận A đã được tiêm phòng viêm gan B hay không?
c) Ở quận C, tỉ lệ người đã được tiêm phòng viêm gan B là 50%. Với xác suất 0,95 khi kiểm tra ngẫu nhiên 1600 người ở quận C thì có tối thiểu bao nhiêu người đã được tiêm phòng viêm gan B?
Câu 5 (2 điểm)
Theo dõi giá (đơn vị: nghìn đồng) hai cổ phiếu A và B trong 121 phiên giao dịch, người ta thu được các kết quả sau:

Giả thiết cổ phiếu A và B là các biến ngẫu nhiên phân phối chuẩn.
a) Với độ tin cậy 95%, tìm khoảng tin cậy đối xứng cho giá trung bình của cổ phiếu A.
b) Với mức ý nghĩa 5%, giá trung bình của hai loại cổ phiếu có khác nhau hay không?
c) Với mức ý nghĩa 5%, giá cổ phiếu B có biến động nhiều hơn giá cổ phiếu A hay không?
Câu 6 (1 điểm)
Cho tổng thể có biến ngẫu nhiên gốc X với công thức xác suất:
![]()
Từ mẫu kích thước n, tìm ước lượng hợp lý tối đa của tham số θ.
Cho các giá trị: ![]()
Download tài liệu để xem thêm chi tiết.
Theo Nghị định 147/2024/ND-CP, bạn cần xác thực tài khoản trước khi sử dụng tính năng này. Chúng tôi sẽ gửi mã xác thực qua SMS hoặc Zalo tới số điện thoại mà bạn nhập dưới đây: