Hỗ trợ tư vấn
Tư vấn - Giải đáp - Hỗ trợ đặt tài liệu
Mua gói Pro để tải file trên Download.vn (không bao gồm tài liệu cao cấp) và trải nghiệm website không quảng cáo
Tìm hiểu thêm »Download.vn xin giới thiệu đến quý thầy cô giáo và các em học sinh 16 chuyên đề bồi dưỡng học sinh giỏi Toán lớp 5. Tuyển tập 16 chuyên đề là các dạng toán nâng cao lớp 5 khác nhau nhằm giúp các em học sinh ôn luyện để chuẩn bị cho các kỳ thi học sinh giỏi môn Toán lớp 5. Chúc các em học tốt!
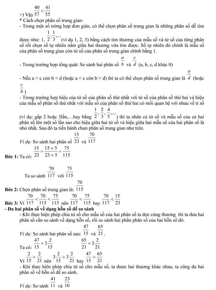
CHUYÊN ĐỀ 1: SO SÁNH PHÂN SỐ





Tài liệu vẫn còn, mời các bạn tải về để xem tiếp
Theo Nghị định 147/2024/ND-CP, bạn cần xác thực tài khoản trước khi sử dụng tính năng này. Chúng tôi sẽ gửi mã xác thực qua SMS hoặc Zalo tới số điện thoại mà bạn nhập dưới đây: