Hỗ trợ tư vấn
Tư vấn - Giải đáp - Hỗ trợ đặt tài liệu
Mua gói Pro để tải file trên Download.vn (không bao gồm tài liệu cao cấp) và trải nghiệm website không quảng cáo
Tìm hiểu thêm »Chuyển động thẳng đều là chuyển động của một vật có quỹ đạo là đường thẳng, có vận tốc như nhau trên mọi quãng đường.
Chuyển động thẳng đều có ba đại lượng đặc trưng là: vận tốc, quãng đường và thời gian chuyển động.
Vận tốc trung bình:![]()
1. Độ dời: Δx = x - xo = x2 - x1
2. Tốc độ trung bình: ![]()
3. Quãng đường đi được: s = v.t
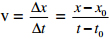
4. Phương trình của chuyển động thẳng đều: x = xo + v(t - to).
Nếu chọn gốc tọa độ và gốc thời gian tại vị trí vật bắt đầu dời chổ (x0 = 0, t0 = 0) thì x = s = v.t
5. Chú ý: Chọn chiều dương cùng chiều chuyển động của vật nào đó ( nếu có nhiều vật)
Vật chuyển động cùng chiều dương v > 0, ngược chiều dương v < 0.
Vật ở phía dương của trục tọa độ x > 0, ở phía âm của trục tọa độ x < 0.
Nếu hai vật chuyển động (trên cùng 1 hệ tọa độ):
+ khi hai vật gặp nhau thì x1 = x2.
+ khi hai vật cách nhau 1 khoảng ∆s thì |x1 - x2| = ∆s.
Nếu gốc thời gian là lúc bắt đầu chuyển động thì t0 = 0
Dạng 1: Tính vận tốc, tốc độ trung bình.
Bài 1: Một ôtô chạy trên một đoạn đường thẳng từ địa điểm A đến địa điểm B phải mất một khoảng thời gian t. Tốc độ của ôtô trong nửa đầu của khoảng thời gian này là 60km/h và trong nửa cuối là 40km/h. Tính tốc độ trung bình của ôtô trên cả đoạn đường AB.
Đáp số: vtb = 50km/h
Bài 2: Một người đi xe đạp chuyển động trên một đoạn đường thẳng AB. Tốc độ của xe đạp trong nửa đầu của đoạn đường này là 12km/h là trong nửa cuối là 18km/h. Tính tốc độ trung bình của xe đạp trên cả đoạn đường AB.
Đáp số: vtb = 14,4km/h
Dạng 2: Lập phương trình chuyển động – xác định vị trí và thời điểm hai vật gặp nhau
Bài 3: lúc 8 giờ một ôtô khởi hành đi từ A về B với vận tốc 20m/s. Chuyển động thẳng đều.
a. Lập phương trình chuyển động.
b. Lúc 11h thì người đó ởvịtrí nào.?
c. Người đó cách A 40km lúc mấy giờ?
Bài 4: Hai thành phố A và B cách nhau 250km. Lúc 7h sáng, 2 ô tô khởi hành từ hai thành phố đó hướng về nhau. Xe từ A có vận tốc v1 = 60km/h, xe kia có vận tốc v2 = 40 km/h. Hỏi 2 ô tô sẽ gặp nhau lúc mấy giờ? tại vị trí cách B bao nhiêu km?
A.9h30ph; 100km B.9h30ph; 150km C.2h30ph; 100km D.2h30ph; 150km
A. Các khái niệm cơ bản:
1. Vận tốc: v = v0 + at
2. Quãng đường: ![]()
3. Hệ thức liên hệ: 
4. Phương trình chuyển động: ![]()
Chú ý: Chuyển động thẳng nhanh dần đều a.v > 0; Chuyển động thẳng chậm dần đều a.v < 0
5. Bài toán gặp nhau của chuyển động thẳng biến đổi đều:
- Lập phương trình toạ độ của mỗi chuyển động:
![]()
- Khi hai chuyển động gặp nhau: x1 = x2
Giải phương trình này để đưa ra các ẩn của bài toán. Khoảng cách giữa hai chất điểm tại thời điểm t: d = |x1 - x2|
6. Một số bài toán thường gặp:
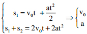
Bài toán 1: Một vật chuyển động thẳng nhanh dần đều đi được những đoạn đường s1 và s2 trong hai khoảng thời gian liên tiếp bằng nhau là t. Xác định vận tốc đầu và gia tốc của vật.
Giải hệ phương trình:

Bài toán 2: Một vật bắt đầu chuyển động thẳng nhanh dần đều. Sau khi đi được quãng đường s1 thì vật đạt vận tốc v1. Tính vận tốc của vật khi đi được quãng đường s2 kể từ khi vật bắt đầu chuyển động.
![]()
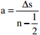
Bài toán 3: Một vật bắt đầu chuyển động nhanh dần đều không vận tốc đầu:
- Cho gia tốc a thì quãng đường vật đi được trong giây thứ n:
![]()
- Cho quãng đường vật đi được trong giây thứ n thì gia tốc xác định bởi:

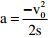
Bài toán 4: Một vật đang chuyển động với vận tốc v0 thì chuyển động chầm dần đều:
- Nếu cho gia tốc a thì quãng đường vật đi được cho đến khi dừng hẳn: ![]()
- Cho quãng đường vật đi được cho đến khi dừng hẳn s, thì gia tốc: ![]()
- Cho a. thì thời gian chuyển động: ![]()
- Nếu cho gia tốc a, quãng đường vật đi được trong giây cuối cùng: ![]()
- Nếu cho quãng đường vật đi được trong giây cuối cùng là s ∆ , thì gia tốc:

Dạng 1: Đại cương về chuyển động thẳng biến đổi đều
Bài 1: Một viên bi thả lăn trên mặt phẳng nghiêng không vận tốc đầu với gia tốc là 0,1 m/s2. Hỏi sau bao lâu kể từ lúc thả vien bi có vận tốc 2m/s
Đáp số: 20s.
Bài 2: Một đồn tàu bắt đầu rời ga chuyển động nhanh dần đều, sau 20s đạt đến vận tốc 36 km/h. Hỏi sau bao lâu tàu đạt đến vận tố c 54 Km/h?
Đáp số: t = 30s.
Bài 3: Một vật chuyển động thẳng nhanh dần đều đi được đoạn đường s1 = 24m và s2 = 64m trong hai khoảng thời gian liên tiếp bằng nhau là 4s. Xác định vận tốc ban đầu và gia tốc của vật.
Đs: v0 = 3,5m/s; a = 1,25m/s2
Bài 4: Một vật chuyển động thẳng nhanh dần đều với vận tốc đầu v0 = 18 km/h. Trong giây thứ tư kể từ lúc bắt đầu chuyển động nhanh dần, vật đi được 12m. Hãy tính:
a. Gia tốc của vật.
b. Quãng đường đi được sau 10s
Đáp số: a. a = 1,56m/s2. b. s = 127,78m
Download tài liệu để xem chi tiết.
Theo Nghị định 147/2024/ND-CP, bạn cần xác thực tài khoản trước khi sử dụng tính năng này. Chúng tôi sẽ gửi mã xác thực qua SMS hoặc Zalo tới số điện thoại mà bạn nhập dưới đây: