Hỗ trợ tư vấn
Tư vấn - Giải đáp - Hỗ trợ đặt tài liệu
Mua gói Pro để tải file trên Download.vn (không bao gồm tài liệu cao cấp) và trải nghiệm website không quảng cáo
Tìm hiểu thêm »1. Lực
- Định nghĩa lực:
- Đặc điểm của vecto lực:
+ Điểm đặt tại vật
+ Phương của lực tác dụng
+ Chiều của lực tác dụng
+ Độ lớn tỉ lệ với độ lớn của lực tác dụng
2. Cân bằng lực
- Các lực cân bằng: là các lực cùng tác dụng vào một vật và không gây gia tốc cho vật
- Hai lực cân bằng: là hai lực cùng tác dụng vào một vật, cùng giá cùng độlớn nhưng ngược chiều
3. Tổng hợp lực:
- Định nghĩa:
- Quy tắc tổng hợp lực: Quy tắc hình bình hành
Nếu vật chịu tác dụng của 2 lực ![]()

Nhận xét: |F1 - F2| ≤ F ≤ F1 + F2
Nếu vật chịu tác dụng của nhiều lực thì tiến hành tổng hợp hai lực rồi lấy hợp lực của 2 lực đó tổng hợp tiếp với lực thứ 3…
4. Phân tích lực:
- Định nghĩa:
- Quy tắc phân tích lực: Quy tắc hình bình hành
Chú ý: chỉ phân tích lực theo các phương mà lực có tác dụng cụ thể
5. Điều kiện cân bằng của chất điểm![]()
Bài 1: Tìm hợp lực của các lực trong các trường hợp sau: (Các lực được vẽ theo thứ tự chiều quay của kim đồng hồ)
Đáp số: a. 19,3 N b. 28,7 N c. 10 N d. 24 N
Bài 2: Một chất điểm chịu tác dụng đồng thời của 2 lực có độ lớn 20N và 30N, xác định góc hợp bởi phương của 2 lực nếu hợp lực có giá trị: a. 50N b. 10N c. 40N d. 20N
Đáp số; a. 00 b. 1800 c. 75,50 d. 138,50
Bài 3: Một chất điểm chịu tác dụng đồng thời của 3 lực: F1 = 20N, F2 = 20N và F3 . Biết góc giữa các lực là bằng nhau và đều bằng 1200. Tìm F3 để hợp lực tác dụng lên chất điểm bằng 0?
Đáp số: F3 = 20 N
1. Định luật 1:
- Nội dung: ![]()
Định luật 1 Niuton chỉ đúng trong hệ quy chiếu quán tính, định luật 1 được gọi là định luật quán tính
- Quán tính: Là tính chất của mọi vật có xu hướng bảo tồn vận tốc cả về hướng và độ lớn
2. Định luật 2:
- Nội dung: ![]()
- Nếu có nhiều lực tác dụng lên vật thì: ![]()
- Định nghĩa, tính chất của khối lượng
- Trọng lực
có phương thẳng đứng, chiều hướng xuống.
- Trọng lượng là độ lớn của trọng lực P = mg
3. Định luật 3:
- Nội dung: ![]()
- Đặc điểm của lực và phản lực:
+ Cùng đồng thời xuất hiện và mất đi
+ Cùng giá, cùng độ lớn, ngược chiều
+ Tác dụng vào hai vật khác nhau, là 2 lực không cân bằng
+ Có cùng bản chất
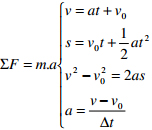
* Xác định lực bằng các đại lượng động học và ngược lại
- Nhận ra các lực tác dụng lên vật
- Viết phương trình định luật II Newton
![]()
Chiếu (*) lên hướng chuyển động. Thực hiện tính toán
Áp dụng:
Tiến hành lực tương tác để giải bài toán ngược
Bài 1: Một chiếc xe khối lượng m = 100 kg đang chạy với vận tốc 30,6 km/h thì hãm phanh. Biết lực hãm phanh là 250N. Tìm quãng đường xe còn chạy thêm đến khi dừng hẳn
Bài 2: Dưới tác dụng của lực F nằm ngang, xe lăn chuyển động không vận tốc đầu, đi được quãng đường 2,5 m trong thời gian t. Nếu đặt thêm vật khối lượng 250 g lên xe thì xe chỉ đi được quãng đường 2m trong thời gian t (Bỏ qua ma sát). Tìm khối lượng xe.
Bài 3: Một xe lăn khối lượng 50 kg, dưới tác dụng của 1 lực kéo theo phương nằm ngang chuyển động không vận tốc đầu từ đầu đến cuối phòng mất 10 s. Khi chất lên xe một kiện hàng, xe phải chuyển động mất 20s. Bỏ qua ma sát. Tìm khối lượng kiện hàng.
Bài 4: Lực F Truyền cho vật khối lượng m1 gia tốc 2m/s2, truyền cho vật khối lượng m2 gia tốc 6m/s2. Hỏi lực F sẽ truyền cho vật có khối lượng m = m1 + m2 một gia tốc là bao nhiêu?
Download tài liệu để xem chi tiết.
Theo Nghị định 147/2024/ND-CP, bạn cần xác thực tài khoản trước khi sử dụng tính năng này. Chúng tôi sẽ gửi mã xác thực qua SMS hoặc Zalo tới số điện thoại mà bạn nhập dưới đây: