Hỗ trợ tư vấn
Tư vấn - Giải đáp - Hỗ trợ đặt tài liệu
Mua gói Pro để tải file trên Download.vn (không bao gồm tài liệu cao cấp) và trải nghiệm website không quảng cáo
Tìm hiểu thêm »Giáo án Toán 12 Chân trời sáng tạo Bài tập cuối Chương 4 dưới đây bao gồm đầy đủ mẫu giáo án word Bài tập cuối Chương 4 môn Toán lớp 12 bộ Chân trời sáng tạo cùng với bài giảng điện tử Toán 12 CTST được thiết kế đẹp mắt trên phần mềm PowerPoint với nội dung cô đọng súc tích sẽ giúp các em học sinh dễ dàng tiếp thu nội dung bài học.


................
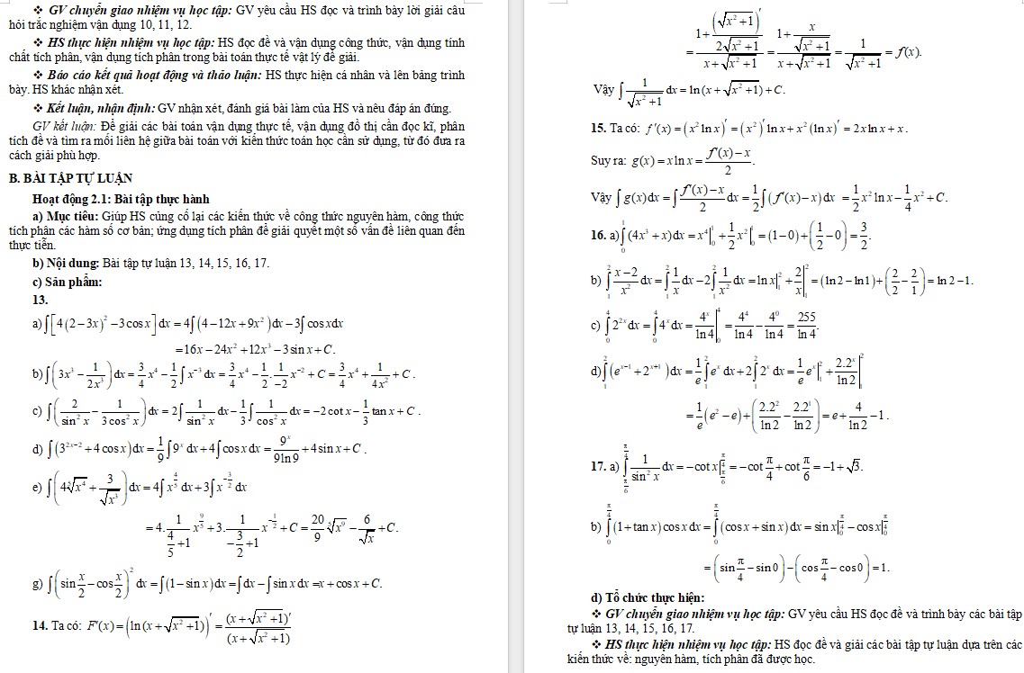
Mời các bạn xem trọn bộ giáo án Word/PPT Bài tập cuối Chương 4 môn Toán 12 CTST trong file tải về.
Theo Nghị định 147/2024/ND-CP, bạn cần xác thực tài khoản trước khi sử dụng tính năng này. Chúng tôi sẽ gửi mã xác thực qua SMS hoặc Zalo tới số điện thoại mà bạn nhập dưới đây: