Hỗ trợ tư vấn
Tư vấn - Giải đáp - Hỗ trợ đặt tài liệu
Mua gói Pro để tải file trên Download.vn (không bao gồm tài liệu cao cấp) và trải nghiệm website không quảng cáo
Tìm hiểu thêm »Đề thi Violympic Toán Tiếng Anh lớp 5 vòng 2 năm 2016 - 2017 là đề thi giải Toán bằng Tiếng Anh qua mạng dành cho học sinh lớp 5 có đáp án đi kèm. Với đề thi này hy vọng sẽ giúp các em học sinh ôn tập và củng cố kiến thức, nhằm đạt kết quả cao trong các vòng tiếp theo của cuộc thi Violympic giải Toán Tiếng Anh qua mạng.
Đề thi Violympic Toán tiếng Anh lớp 5 vòng 4 năm 2016 - 2017
Đề thi Violympic Toán Tiếng Anh lớp 5 vòng 8 năm 2015 - 2016

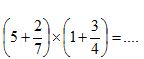
Câu 1: Calculate: ![]()
Câu 2: Calculate: 2/5 - 2/10=....
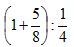
Câu 3: Calculate ![]()
Câu 4: Write >; =; < ![]()
Câu 5: Calculate: 
Câu 6: Convert: 25mm2 =... cm2
Câu 1: How many natural numbers are not greater than 2016?
a) 2014; b) 2015; c) 2016; d) 2017
Câu 2: The ratio of two numbers is 3 : 7 and their sum is the smallest 3 - digit number. Their difference is....
a) 10; b) 30; c) 40; d) 70
Câu 3: How many 3 - digit even numbers?
a) 440; b) 450; c) 510; d) 500
Câu 4: Find the greatest fraction: 1/3; 2/4; 1/4; 3/15
a) 2/4; b) 1/3; c) 1/4; d) 3/15
Câu 5: Calculate (1 + 2/5) x 6/7 =...
a) 2/7; b) 3; c) 12/35; d) 6/5
Câu 6: Calculate 7 + 3/5
a) 22/5; b) 21/5; c) 35/5; d) 38/5
Câu 7: The difference of two numbers is 157. Their ratio is 3/2. Find the greater number?
a) 314; b) 471; c) 451; d) 785
Câu 8: Miken bought 17 pens and he had to pay $51. How much do 30 pens of the same kind cost?
a) $90; b) $30; c) $120; d) $51
Câu 9: If 2a456b is divisible by 2; 3; 5 and 9 then a + b =...
a) 0; b) 1; c) 4; d) 2
Câu 10: The sum of even numbers from 16 to 56 is...
a) 789; b) 756; c) 359; d) 72
Bài 1: Chọn các giá trị theo thứ tự tăng dần
(8) < (16) < (4) < (5) < (1) < (9) < (18) < (14) < (7) < (3) < (17) < (11) < (10) < (19) < (13) < (20) < (15) < (6) < (2)
Bài 2: Đi tìm kho báu
Câu 1: 15 Câu 2: 3/10 Câu 3: 13/2
Câu 4: >; = Câu 5: 9,25 Câu 6: 0,25
Bài 3: Cóc vàng tài ba
Câu 1: d Câu 2: c Câu 3: b Câu 4: a Câu 5: d
Câu 6: d Câu 7: b Câu 8: a Câu 9: b Câu 10: b
Theo Nghị định 147/2024/ND-CP, bạn cần xác thực tài khoản trước khi sử dụng tính năng này. Chúng tôi sẽ gửi mã xác thực qua SMS hoặc Zalo tới số điện thoại mà bạn nhập dưới đây: