Hỗ trợ tư vấn
Tư vấn - Giải đáp - Hỗ trợ đặt tài liệu
Mua gói Pro để tải file trên Download.vn (không bao gồm tài liệu cao cấp) và trải nghiệm website không quảng cáo
Tìm hiểu thêm »Đề thi Violympic Toán Tiếng Anh lớp 4 vòng 9 năm 2015 - 2016 có đáp án đi kèm, giúp các em học sinh lớp 4 ôn tập và củng cố kiến thức, nhằm đạt kết quả cao trong các vòng tiếp theo của cuộc thi Violympic giải Toán Tiếng Anh qua mạng năm học 2015 - 2016. Mời các em cùng tham khảo nội dung chi tiết dưới đây:
Đề thi Violympic Toán Tiếng Anh lớp 4 vòng 8 năm 2015 - 2016
Đề thi Violympic Toán Tiếng Anh lớp 4 vòng 5 năm 2016 - 2017
Question 1: The expression 4 x 1000 + 5 x 100 + 4 x 1 is equal to ..............
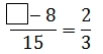
Question 2: What number should be placed in the box to make?

Question 3: What is the remainder when 65870 is divided by 8?
Question 4: Mya has 10000 dollars in bills of 40 dollars.How many 40 dollars- bills does she have?
Question 5: A large box of candies and a small box of candies together cost 13 dollars. If the large box costs 5 dollars more than the small box, what is the price of the small box of candies?
Question 6: Six students had an orange eating contest. The graph shows the number of oranges eaten by each student. Mary ate the fewest oranges and Jack ate the greatest. How many more oranges did Jack eat than Mary?

Question 7: The numbers from 1 to 1000 are written. How many of these numbers have at least two digits 5?
Question 8: Five students do an exam with a maximum score of 50. The scores of four of the students are 41, 44, 46 and 49. The average of five students' scores is the same as the score of the fifth student. The score of the fifth student is .............
Question 9: Five years ago, Sarah was 7 years old. Two years later, she will be ............. years old.
Question 10: A fraction is equal to 2/5. The sum of its denominator and its numerator is 91. What is the difference between the denominator and numerator of this fraction?
Question 1: Nick has 3/5 of a dollar and Emma has 3/10 of a dollar. Together they have .............
a. $6/10 b. $8/10 c. $9/10 d. $15/10
Question 2: The value of 1/12 : 1/8 = .............
Question 3: The symbol
is evaluated as 4 x 7 – 3 x 6 = 10.
If
then the number that should be replaced in the question mark is ...............
Question 4: The are of a rectangular garden is 36m2. Its has a length of 9m. Its perimeter, in metres, is .................
Question 5: Last year, Bob's age is divided by 7. This year, his age is divisible by 5. In how many years will Bob be 27 years old?
Question 1: The value of 40 + 60000 + 500 + 30 is .............
a. 65070 b. 65430 c. 60570 d. 60543
Question 2: The average of the numbers 21, 23, 25 and 27 is ...................
a. 22 b. 23 c. 24 d. 26
Question 3: The perimeter of a rectangular is 3 times its length. If the perimeter is 120cm, the area of the rectangle is ............
a. 3200cm b. 800cm c. 800cm2 d. 3200cm2
Question 4: Which number should be replace the blank:

a. 32 b. 96 c. 48 d. 24
Question 5: Sophia plants ten trees every three minutes. If she continues planting at the same rate, how long will it take she to plant 250 trees?
a. 5/4 h b. 25h c. 3/4 h d. 75h
Question 6: Anna scored 325 points during the badminton season. If her average point was 13 per game, how many games did she play?
a. 25 b. 13 c. 26 d. 14
Question 7: If a machine produces 90 items in one minute, how many items would it produce in 20 second?
a. 180 b. 20 c. 30 d. 60
Question 8: The digits 1, 2, 3, 4, 5 and 6 are each placed in one of the boxes so that the resulting product is correct. If each of the six digits is used exactly once, the digit represented by'?" is .............

a. 6 b. 2 c. 3 d. 4
Question 9: The average of five different natural numbers is 4. If the different between the largest and smallest of these numbers is as large as possible, what is the average of the other three numbers?
a. 5 b. 2 c. 3 d. 6
Exam number 1: Fill in the blank with the suitable number
Question 1: 4504
Question 2: 18
Question 3: 6
Question 4: 250
Question 5: 4
Question 6: 5
Question 7: 19
Question 8: 45
Question 9: 14
Question 10: 39
Exam number 2: Đi tìm kho báu
Question 1: c
Question 2: 2/3
Question 3: 2
Question 4: 26
Question 5: 12
Exam number 3: Cóc vàng tài ba
Question 1: c
Question 2: c
Question 3: c
Question 4: b
Question 5: a
Question 6: a
Question 7: c
Question 8: c
Question 9: c
Mời quý thầy cô và các bạn học sinh tham khảo Đề thi Violympic Toán Tiếng Anh lớp 4 vòng 9 qua video để chuẩn bị tốt cho vòng thi sắp tới đây!
Theo Nghị định 147/2024/ND-CP, bạn cần xác thực tài khoản trước khi sử dụng tính năng này. Chúng tôi sẽ gửi mã xác thực qua SMS hoặc Zalo tới số điện thoại mà bạn nhập dưới đây: