Hỗ trợ tư vấn
Tư vấn - Giải đáp - Hỗ trợ đặt tài liệu
Mua gói Pro để tải file trên Download.vn (không bao gồm tài liệu cao cấp) và trải nghiệm website không quảng cáo
Tìm hiểu thêm »Đề thi Violympic Toán tiếng Anh lớp 3 vòng 7 năm 2015 - 2016 à đề thi giải Toán bằng Tiếng Anh qua mạng dành cho học sinh lớp 3 có đáp án đi cùng. Mời quý thầy cô và các em học sinh cùng tải về Đề thi Violympic Toán Tiếng Anh lớp 3 vòng 7 để ôn tập và tham khảo. Chúc các em học sinh thi đạt kết quả cao tại cuộc thi Violympic Toán Tiếng Anh sắp tới!
Đề thi Violympic Toán tiếng Anh lớp 3 vòng 2 năm 2016 - 2017
Đề thi Violympic Toán Tiếng Anh lớp 3 vòng 8 năm 2016 - 2017
Đề thi Violympic Toán Tiếng Anh lớp 3 vòng 3 năm 2016 - 2017
Question 1: Multiply 9 x 5 = .............
a. 48 b. 40 c. 47 d. 45
Question 2: Multiply: 9 x 7 = ...........
a. 62 b. 65 c. 61 d. 63
Question 3: Multiply 9 x 2 = .............
a. 18 b. 14 c. 19 d. 16
Question 4: Multiply 9 x 9 = ..............
a. 81 b. 84 c. 83 d. 82
Question 5: Calculate: 9 x 10 - 34 = .............
a. 65 b. 56 c. 64 d. 46
Question 6: .........g x 4 = 860g
The missing number is:
a. 205 b. 225 c. 215 d. 235
Question 7: ......... of the below circle is not colored.

a. 1/3 b. 1/5 c. 1/4 d. 1/6
Question 8: ........... of the figure below is colored.

a. 1/3 b. 1/5 c. 1/4 d. 1/6
Question 9: Mary has five packs of pencils. There are 9 pencils in each pack. John has 16 pencils. How many pencils do they have in all?
a. 51 b. 66 c. 56 d. 61
Question 10: The product of y and 9 is a two-digit number that has the digit 8 in the tens place. When y is divided by 9, the remainder is ................
a. 0 b. 1 c. 9 d. 8

Question 1: 36 : .......... = 9
Question 2: 18 : 9 = .............
Question 3: .......... : 9 = 3
Question 4: 63 : 9 = ...............
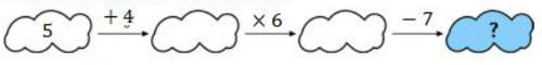
Question 5: Follow the arrows and find the result:

Question 6: 1/5 of 45g is ................g.
Question 7: 1/N of 54g is 9g. The value of N is ................
Question 8: 1/M of 72g is 9g. The value of M is ..................
Question 9: The product of x and 9 is the greatest 2-digit number. The value of x is ...............
Question 10: Adding 35 to the smallest two-digit number and dividing the sum by the biggest one-digit number we get ..................
Exam number 1: Đi tìm kho báu
Question 1: d Question 2: d Question 3: a
Question 4: a Question 5: b Question 6: c
Question 7: c Question 8: a Question 9: d Question 10: c
Exam number 2: Choose 2 consecutive cells which have the same or equal value.
(1) = (13); (2) = (14); (3) = (5); (4) = (8); (6) = (11); (7) = (19); (9) = (10); (12) = (18); (15) = (20); (16) = (17)
Exam number 3: Fill in the blank with the suitable number
Question 1: 4 Question 2: 2 Question 3: 27
Question 4: 7 Question 5: 47 Question 6: 9
Question 7: 6 Question 8: 8 Question 9: 11 Question 10: 5
Theo Nghị định 147/2024/ND-CP, bạn cần xác thực tài khoản trước khi sử dụng tính năng này. Chúng tôi sẽ gửi mã xác thực qua SMS hoặc Zalo tới số điện thoại mà bạn nhập dưới đây: