Đề thi Violympic Toán lớp 6 vòng 17 năm 2016 - 2017 Đề thi giải Toán trên mạng lớp 6 có đáp án

Đề thi Violympic Toán lớp 6 vòng 17 năm 2016 - 2017, có đáp án đi kèm. Giúp các em học sinh lớp 6 hệ thống lại toàn bộ kiến thức, tích lũy kinh nghiệm giải đề và biết cách phân bổ thời gian hợp lý trong từng bài thi. Mời các em cùng tham khảo nội dung chi tiết:

Đề thi Violympic Toán lớp 6 vòng 16 năm 2016 - 2017

Bộ đề thi Violympic Toán lớp 6 năm học 2016 - 2017

Đề thi Violympic Toán lớp 6 vòng 17 năm 2016 - 2017 có đáp án

Bài 1: Điền kết quả thích hợp vào chỗ chấm

Câu 1: Có bao nhiêu phân số bằng phân số -15/20 có mẫu số là số nguyên dương nhỏ hơn 30?

Trả lời: ......

Câu 2: Hai góc bù nhau, số đo góc này bằng 4 lần số đo góc kia. Vậy số đo góc lớn là bao nhiêu độ?

Trả lời: ......

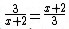
Câu 3: Tập hợp các số tự nhiên n để Đề thi giải Toán trên mạng có đáp áncó giá trị nguyên có số phần tử là?

Trả lời: ......

Câu 4: Gọi A là tập hợp các số tự nhiên có bốn chữ số khi chia hết cho 5 có số dư là 2. Số các phần tử của A là?

Trả lời: ......

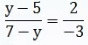
Câu 5: Tập hợp các số nguyên x thỏa mãn Đề thi giải Toán trên mạng có đáp án là?

Trả lời: ......

Câu 6: Tập hợp các số nguyên x thỏa mãn x2016 = x2 là?

Trả lời: ......

Câu 7: Để Đề thi giải Toán trên mạng có đáp ánchia hết cho 8 và 9 thì giá trị nhỏ nhất của b là bao nhiêu?

Trả lời: ......

Câu 8: Số cặp (x;y) nguyên dương thỏa mãn x2 + y2 = 13 là?

Trả lời: ......

Câu 9: Số giá trị nguyên của x thỏa mãn Ix2 - 5I + I5 - x2I = 40 là?

Trả lời: ......

Câu 10: Cặp số nguyên dương (x;y) thỏa mãn I(x2 + 3 )(y + 1)I = 16 là (x;y) = ?

Trả lời: ......

Bài 2: Đừng để điểm rơi

Câu 1: Số nguyên y thỏa mãnĐề thi giải Toán trên mạng có đáp án là?

Trả lời: ......

Câu 2: Số tự nhiên n nhỏ nhất để (-2)n < (-2)2017 là?

Trả lời:.....

Câu 3: Số tự nhiên n lớn nhất để Đề thi giải Toán trên mạng có đáp án nhận giá trị nguyên là?

Trả lời: ......

Câu 4: Số các số nguyên x thỏa mãn 15 + I-2x + 3I = 19 là?

Trả lời: ......

Câu 5: Số các cặp số nguyên (x;y) thỏa mãn (3x + 5)(-3y + 7) = 48 là?

Trả lời: ......

Câu 6: Rút gọn biểu thức

Đề thi giải Toán trên mạng có đáp án

ta được A = ?

Trả lời: ......

Câu 7: Số nguyên lớn nhất thuộc tập hợp ước chung của 18 và 45 là?

Trả lời: ......

Câu 8: Số tự nhiên n lớn nhất để 4n < 263 là?

Trả lời: ......

Câu 9: Cho a là một số chẵn không chia hết cho 10. Hai chữ số tận cùng của a40 là?

Trả lời: ......

Câu 10: Tổng của tất cả các số có ba chữ số khác nhau được lập từ các chữ số 1;2;3;4;5 là?

Trả lời: ......

Bài 3: Bức tranh bí ẩn

Câu 1: Tổng các ước tự nhiên của số 100?

Trả lời: ......

Câu 2: Số các số nguyên dương vừa là bội của 8 vừa là ước của 80 là?

Trả lời:

Câu 3: 42.2 - (12016 + 15) : 42 = ?

Trả lời: ......

Câu 4: (-45).(-20) = ?

Trả lời: ......

Câu 5: Số phần tử của tập hợp các ước nguyên dương của 50 là?

Trả lời: ......

Câu 6: Giá trị của x thỏa mãn 9x - 59049 là?

Trả lời: ......

Câu 7:

810 = ?

Trả lời: ......

Câu 8:

Giá trị của x thỏa mãn 3(x + 1) - 2( x + 1) = 30

Trả lời: ......

Đáp án đề thi Violympic Toán lớp 6 vòng 17 năm 2016 - 2017

Bài 1: Điền kết quả thích hợp vào chỗ chấm

Câu 1: 7 Câu 6: {-1;0;1}

Câu 2: 144 Câu 7: 123408

Câu 3: 2 Câu 8: 2

Câu 4: 1800 Câu 9: 2

Câu 5: {-5;1} Câu 10: (1,3)

Bài 2: Đừng để điểm rơi

Câu 1: 1 Câu 6: -1

Câu 2: 2019 Câu 7: 9

Câu 3: 4 Câu 8: 31

Câu 4: 0 Câu 9: 76

Câu 5: 0 Câu 10: 19980

Bài 3: Bức tranh bí ẩn

Câu 1: 217 Câu 6: 5

Câu 2: 22 Câu 7: 230

Câu 3: 31 Câu 8: 29

Câu 4: 9.102

Câu 5: 32 - 3

Chia sẻ bởi: 👨 Lê Thị tuyết Mai
Liên kết tải về

Chọn file cần tải:

Xác thực tài khoản!

Theo Nghị định 147/2024/ND-CP, bạn cần xác thực tài khoản trước khi sử dụng tính năng này. Chúng tôi sẽ gửi mã xác thực qua SMS hoặc Zalo tới số điện thoại mà bạn nhập dưới đây:

Số điện thoại chưa đúng định dạng!
Số điện thoại này đã được xác thực!
Bạn có thể dùng Sđt này đăng nhập tại đây!
Lỗi gửi SMS, liên hệ Admin
Sắp xếp theo
👨
Đóng
Chỉ thành viên Download Pro tải được nội dung này! Download Pro - Tải nhanh, website không quảng cáo! Tìm hiểu thêm
Nhắn tin Zalo