Hỗ trợ tư vấn
Tư vấn - Giải đáp - Hỗ trợ đặt tài liệu
Mua gói Pro để tải file trên Download.vn và trải nghiệm website không quảng cáo
Tìm hiểu thêm »Để chuẩn bị cho các vòng tiếp theo của kì thi Violympic - Giải Toán qua mạng tốt hơn mời các em học sinh cùng tham khảo Đề thi Violympic Toán lớp 5 vòng 2 năm học 2017 - 2018. Đề thi có đáp án chi tiết đi kèm sẽ giúp các em củng cố lại kiến thức đồng thời rút ra nhiều kinh nghiệm hay trong quá trình làm bài thi. Chúc các em ôn thi hiệu quả và đạt kết quả cao.
Bài thi số 1: Sắp xếp (Chọn các giá trị theo thứ tự tăng dần):

Bài thi số 2: Đập dế:
Câu 1: Hiệu của số lớn nhất có 4 chữ số khác nhau và số nhỏ nhất có 4 chữ số là:
a/ 8999 b/ 8853 c/ 8976 d/ 8876.
Câu 2: Tìm x, biết: x + x/3 = 24. Vậy x là:
a/ 24 b/ 12 c/ 18 d/ 6.
Câu 3: Tìm y, biết: ( 5/7 – y) x 14/5 = 7/10 + 1/2. Vậy y là:
a/ 3/7 b/ 2/7 c/ 8/7 d/ 1.
Câu 4: Tính: 1 + 4 + 9 + 16 + ….. + 100 = …..
a/ 1717 b/ 385 c/ 10100 d/ 5050.
Câu 5: Tìm số bị chia trong phép chia cho 12 có thương là 35 và số dư là số lẻ có 2 chữ số. Vậy số bị chia là:
a/ 395 b/ 431 c/ 397 d/ 430.
Câu 6: Số dư trong phép chia 6700 : 900 là:
a/ 0 b/ 40 c/ 400 d/ 4.
Câu 7: Số nhỏ nhất có 5 chữ số chia hết cho 2; 3 và 5 là:
a/ 1200 b/ 10005 c/ 10020 d/ 10200.
Câu 8: Số bé bằng 2/5 số lớn. Tìm số lớn, biết nếu thêm 48 đơn vị vào số bé ta được số lớn. Vậy số lớn là:
a/ 16 b/ 80 c/ 160 d/ 32.
Câu 9: Tổng hai số bằng 189. Nếu chuyển số thứ nhất sang số thứ hai 15 đơn vị thì số thứ nhất bằng 2/5 số thứ hai. Vậy số thứ hai là:
a/ 69 b/ 150 c/ 177 d/ 135.
Câu 10: Hiệu 2 số là số chẵn lớn nhất có 2 chữ số. Tổng của 2 số là 500. Vậy số lớn là:
a/ 155 b/ 299 c/ 201 d/ 245.
BÀI 3: Đừng để điểm rơi:
Câu 1: Tính:

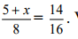
Câu 2: Tìm x thỏa mãn:
![]()
Vậy x =…..
Câu 3: Tìm x thỏa mãn:
![]()
Vậy x = …………
Câu 4: Tìm phân số a/b, biết:
![]()
Vậy a/b = …………
Câu 5: Số hạng tiếp theo của dãy số: 1; 2; 3; 5; 8; …….. là: …………..
Câu 6: Số thứ 100 của dãy số: 4; 8; 12; 16; … là: ……….
Câu 7: Số lớn nhất có 7 chữ số hơn số lớn nhất có 6 chữ số khác nhau là: ………………
Câu 8: Số lớn nhất có 5 chữ số chia hết cho 2; 3 và 5 là: ………………..
Câu 9: Tìm một số có ba chữ số, biết tổng 3 chữ số là 20. Tổng 3 chữ số gấp 4 lần chữ số hàng trăm, chữ số hàng chục gấp rưỡi chữ số hàng đơn vị. Vậy số cần tìm là: ……...
Câu 10: Tổng của hai số là số nhỏ nhất có 4 chữ số. Nếu lấy số lớn chia cho số nhỏ được thương là số lớn nhất có 1 chữ số. Vậy số lớn là: ………..
Bài thi số 1: Sắp xếp (Chọn các giá trị theo thứ tự tăng dần):

Bài thi số 2: Đập dế
Câu 1: d Câu 6: c
Câu 2: c Câu 7: c
Câu 3: b Câu 8: b
Câu 4: b Câu 9: b
Câu 5: b Câu 10: b
BÀI 3: Đừng để điểm rơi:
Câu 1: 9/2 Câu 6: 400
Câu 2: 68 Câu 7: 9012345
Câu 3: 2 Câu 8: 99990
Câu 4: 2/3 Câu 9: 596
Câu 5: 13 Câu 10: 900
Theo Nghị định 147/2024/ND-CP, bạn cần xác thực tài khoản trước khi sử dụng tính năng này. Chúng tôi sẽ gửi mã xác thực qua SMS hoặc Zalo tới số điện thoại mà bạn nhập dưới đây: