Đề thi tuyển sinh lớp 10 THPT tỉnh Kiên Giang năm 2012 - 2013 môn Toán - Có đáp án Sở GD-ĐT Kiên Giang

SỞ GIÁO DỤC VÀ ĐÀO TẠO
KIÊN GIANG

ĐỀ CHÍNH THỨC

ĐỀ THI TUYỂN SINH VÀO LỚP 10 THPT
NĂM HỌC 2012 - 2013

MÔN THI: TOÁN
Thời gian làm bài: 150 phút (không kể thời gian giao đề)
Ngày thi: 26/06/2012

Bài 1: (1,5 điểm)

1. Rút gọn các biểu thức

2. Cho biểu thức

a. Rút gọn B

b. Tính giá trị biểu thức B khi

Bài 2: (1, 5 điểm)

Cho đường thẳng (dm): y = -x + 1 - m2 và (D): y = x.

1. Vẽ đường thẳng (dm) khi m = 2 và (D) trên cùng hệ trục tọa độ, nhận xét về 2 đồ thị của chúng.

2. Tìm m để trục tọa độ Ox, (D) và (dm) đồng quy.

Bài 3: (1,5 điểm)

Trong đợt quyên góp ủng hộ người nghèo, lớp 9A và 9B có 79 học sinh quyên góp được 975000 đồng. Mỗi học sinh lớp 9A đóng góp 10000 đồng, mỗi học sinh lớp 9B đóng góp 15000 đồng. Tính số học sinh mỗi lớp.

Bài 4: (1,5 điểm)

Cho phương trình: x2 - 2(m + 2)x + m2 + 5m + 4 = 0(*).

1. Chứng minh rằng với m < 0 phương trình (*) luôn luôn có 2 nghiệm phân biệt x1, x2.

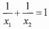
2. Tìm m để phương trình (*) có hai nghiệm phân biệt x1, x2 thỏa hệ thức

Bài 5: (4 điểm)

Cho nửa đường tròn tâm O đường kính AB và điểm C trên đường tròn sao cho CA = CB. Gọi M là trung điểm của dây cung AC; Nối BM cắt cung AC tại E; AE và BC kéo dài cắt nhau tại D.

a. Chứng minh: DE.DA = DC.DB

b. Chứng minh: MOCD là hình bình hành.

c. Kẻ EF vuông góc với AC. Tính tỉ số MF/EF

d. Vẽ đường tròn tâm E bán kính EA cắt đường tròn (O) tại điểm thứ hai là N; EF cắt AN tại I, cắt đường tròn (O) tại điểm thứ hai là K; EB cắt AN tại H. Chứng minh: Tứ giác BHIK nội tiếp được đường tròn.

Download tài liệu để xem thêm chi tiết

Chia sẻ bởi: 👨 Nguyễn Thu Ngân
Liên kết tải về
Xác thực tài khoản!

Theo Nghị định 147/2024/ND-CP, bạn cần xác thực tài khoản trước khi sử dụng tính năng này. Chúng tôi sẽ gửi mã xác thực qua SMS hoặc Zalo tới số điện thoại mà bạn nhập dưới đây:

Số điện thoại chưa đúng định dạng!
Số điện thoại này đã được xác thực!
Bạn có thể dùng Sđt này đăng nhập tại đây!
Lỗi gửi SMS, liên hệ Admin
Sắp xếp theo
👨
Đóng
Chỉ thành viên Download Pro tải được nội dung này! Download Pro - Tải nhanh, website không quảng cáo! Tìm hiểu thêm
Nhắn tin Zalo