Hỗ trợ tư vấn
Tư vấn - Giải đáp - Hỗ trợ đặt tài liệu
Mua gói Pro để tải file trên Download.vn (không bao gồm tài liệu cao cấp) và trải nghiệm website không quảng cáo
Tìm hiểu thêm »
SỞ GIÁO DỤC VÀ ĐÀO TẠO
|
KỲ THI TUYỂN SINH LỚP 10 THPT
|
Ngày thi: 26/06/2012
Thời gian làm bài: 120 phút (không kể thời gian giao đề)
Câu 1: (2,0 điểm)
a. Tìm các số là căn bậc hai của 36.
b.Cho
. Tính A + B
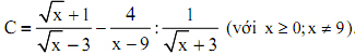
c. Rút gọn biểu thức sau: 
Câu 2: (1,5 điểm)
a. Giải hệ phương trình sau: 
b. Xác định hệ số b của hàm số y = 2x + b, biết khi x = 2 thì y = 3.
Câu 3: (1,5 điểm)
a. Cho hàm số y = ax2 (a # 0). Tìm hệ số a của hàm số, biết khi x = -1 thì y = 1.
b. Cho hàm số y = x2 có đồ thị là (P) và hàm số y = x + 2 có đồ thị là (d). Hãy xác định tọa độ giao điểm của (P) và (d) bằng phương pháp đại số.
Câu 4: (2,0 điểm)
a. Cho phương trình x2 + 5x + 3 = 0 (1)
- Tính biệt thức Δ (đenta) và cho biết số nghiệm của phương trình (1).
- Với x1, x2 là hai nghiệm của phương trình (1), dùng hệ thức Vi-ét để tính: x1 + x2 và x1.x2
b. Giải bài toán sau bằng cách lập phương trình: Hai ô tô khởi hành cùng một lúc đi từ A đến B dài 100km. Mỗi giờ ô tô thứ nhất chạy nhanh hơn ô tô thứ hai là 10km, nên đến B sớm hơn 30 phút. Tính vận tốc của mỗi ô tô.
Câu 5: (3,0 điểm)
a. Cho tam giác MNPcân tại M, đường cao MH (H thuộc NP). Từ H kẻ HE vuông góc MN (E thuộc MN).
- Biết MN= 25cm, HN= 15cm. Tính MH, ME.
- Đường thẳng đi qua E và song song với NP cắt cạnh MP tại F. Tứ giác NPFE là hình gì? Vì sao?
b. Cho tam giác ABC (AB < AC) nội tiếp đường tròn tâm O đường kính BC, vẽ AH vuông góc với BC (H thuộc BC). Trên cung nhỏ AC lấy điểm D bất kì (D khác A và C), dây BD cắt AH tại E.
- Chứng minh tứ giác DEHC là tứ giác nội tiếp.
- Chứng minh AB2 = BE.BD
Download tài liệu để xem thêm chi tiết
Theo Nghị định 147/2024/ND-CP, bạn cần xác thực tài khoản trước khi sử dụng tính năng này. Chúng tôi sẽ gửi mã xác thực qua SMS hoặc Zalo tới số điện thoại mà bạn nhập dưới đây: