Hỗ trợ tư vấn
Tư vấn - Giải đáp - Hỗ trợ đặt tài liệu
Mua gói Pro để tải file trên Download.vn (không bao gồm tài liệu cao cấp) và trải nghiệm website không quảng cáo
Tìm hiểu thêm »Với mong muốn hỗ trợ các bạn thí sinh thật nhiều tài liệu ôn thi THPT quốc gia 2018. Download.vn xin gửi đến các bạn Đề thi thử THPT Quốc gia 2018 môn Toán trường THPT chuyên Bắc Ninh lần 1. Hi vọng, tài liệu này sẽ giúp các bạn thí sinh làm quen với cấu trúc đề thi và các dạng câu hỏi trắc nghiệm môn Toán để tự tin bước vào kỳ thi THPT quốc gia 2018 đạt kết quả cao nhất.
Đề thi thử THPT Quốc gia 2018 môn Toán trường THPT Hàn Thuyên - Bắc Ninh lần 1 (Có đáp án)
Đề thi thử THPT Quốc gia 2018 môn Toán trường THPT Nguyễn Đức Thuận – Nam Định lần 1
|
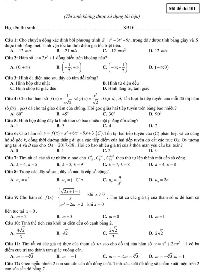
SỞ GD&ĐT BẮC NINH TRƯỜNG THPT CHUYÊN BẮC NINH |
ĐỀ KHẢO SÁT LẦN 1 NĂM HỌC 2017-2018 Thời gian làm bài: 90 phút |





Tài liệu vẫn còn, mời các bạn tải về để xem tiếp
Theo Nghị định 147/2024/ND-CP, bạn cần xác thực tài khoản trước khi sử dụng tính năng này. Chúng tôi sẽ gửi mã xác thực qua SMS hoặc Zalo tới số điện thoại mà bạn nhập dưới đây: