Hỗ trợ tư vấn
Tư vấn - Giải đáp - Hỗ trợ đặt tài liệu
Mua gói Pro để tải file trên Download.vn (không bao gồm tài liệu cao cấp) và trải nghiệm website không quảng cáo
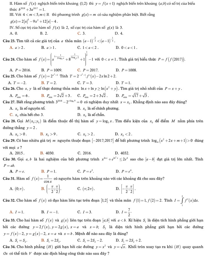
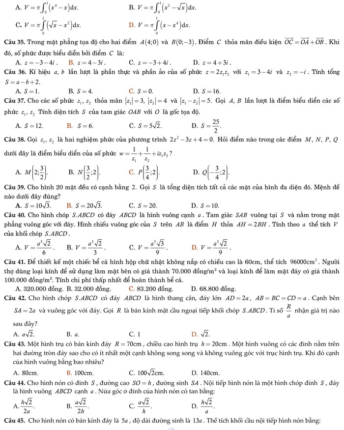
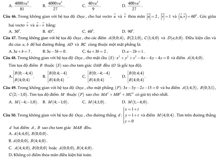
Tìm hiểu thêm »Để hỗ trợ các bạn học sinh lớp 12 có thêm nhiều tài liệu hữu ích để ôn thi tốt nghiệp THPT quốc gia 2018, Download.vn xin gửi đến các bạn Đề thi thử THPT Quốc gia 2018 môn Toán - Số 4. Hi vọng, tài liệu này sẽ giúp ích nhiều trong việc luyện tập và củng cố lại kiến thức của môn Toán để các bạn tự tin bước vào kì thi THPT quốc gia 2018 đạt kết quả cao nhất.
Đề thi thử THPT Quốc gia 2018 môn Toán (Có đáp án)
Đề thi thử THPT quốc gia 2018 môn Toán Lần 1 - Số 2 (Có đáp án chi tiết)
Đề thi thử THPT quốc gia 2018 môn Toán trường THPT Cửa Lò, tỉnh Nghệ An (Có đáp án)





Theo Nghị định 147/2024/ND-CP, bạn cần xác thực tài khoản trước khi sử dụng tính năng này. Chúng tôi sẽ gửi mã xác thực qua SMS hoặc Zalo tới số điện thoại mà bạn nhập dưới đây: