Hỗ trợ tư vấn
Tư vấn - Giải đáp - Hỗ trợ đặt tài liệu
Mua gói Pro để tải file trên Download.vn (không bao gồm tài liệu cao cấp) và trải nghiệm website không quảng cáo
Tìm hiểu thêm »
SỞ GIÁO DỤC & ĐÀO TẠO HÀ NỘI
|
ĐỀ THI THỬ ĐẠI HỌC LẦN 1 NĂM 2014
|
I. PHẦN CHUNG CHO TẤT CẢ CÁC THÍ SINH (7,0 điểm)
Câu 1 (2,0 điểm)
Cho hàm số y = 2x3 - 6x + 1 (1) và đường thẳng Δ: y = mx - 2m + 5 (m là tham số thực)
a) Khảo sát và vẽ đồ thị (C) của hàm số (1).
b) Tìm giá trị của tham số m để đường thẳng Δ cắt đồ thị (C) tại ba điểm phân biệt và khoảng cách từ điểm cực đại của (C) đến Δ bằng 2 lần khoảng cách từ điểm cực tiểu của (C) đến Δ.
Câu 2 (1,0 điểm)
Giải phương trình: ![]()
Câu 3 (1,0 điểm)
Tìm các giá trị của tham số m để phương trình sau có nghiệm: ![]()
Câu 4 (1,0 điểm)
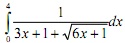
Tính tích phân: ![]()
Câu 5 (1,0 điểm).
Cho hình lăng trụ tam giác ABC.A'B'C' có đáy ABC là tam giác vuông cân với cạnh huyền AB = 2, cạnh bên của lăng trụ bằng √3, mặt bên ABB'A' có góc A'AB là góc nhọn và nằm trong mặt phẳng vuông góc với đáy, mặt phẳng (ACA') tạo với mặt phẳng (ABC) một góc 60o. Tính thể tích của lăng trụ ABC.A'B'C' và khoảng cách từ điểm B đến mặ phẳng (ACA').
Câu 6 (1,0 điểm).
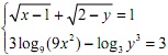
Cho x, y là các số thực thỏa mãn điều kiện ![]()
Tìm giá trị nhỏ nhất và giá trị lớn nhất của biểu thức: ![]()
II. PHẦN RIÊNG (3,0 điểm). Thí sinh chỉ được làm một trong phần (phần A hoặc B)
A. Theo chương trình Chuẩn
Câu 7.a (1,0 điểm) Trong mặt phẳng tọa độ Oxy cho tam giác ABC, đường phân giác trong của góc A và đường cao kẻ từ đỉnh C lần lượt có phương trình x - y = 0, 2x + y - 3 = 0. Đường thẳng AC đi qua điểm M(0; -1), biết AB = 3AM. Tìm tọa độ đỉnh B.
Câu 8.a (1,0 điểm) Trong không gian tọa độ Oxyz cho hai điểm A(2; 0; 0), B(a, b, 0) (a > 0, b > 0) OB = 4 và góc AOB = 60o. Tìm trên trục Oz điểm C sao cho thể tích của tứ diện OABC bằng 6.
Câu 9.a (1,0 điểm ) Gọi E là tập hợp các số tự nhiên có 3 chữ số đôi một khác nhau lập được từ các chữ số 1, 2, 3, 4, 7. Tập E có bao nhiêu phần tử? Chọn ngẫu nhiên một phần tử của E, tính xác suất để số được chọn chia hết cho 3.
B. Theo chương trình Nâng cao
Câu 7.b (1,0 điểm) Trong mặt phẳng tọa độ Oxy cho elip (E): 4x2 + 9y = 36 có hai tiêu điểm F1, F2 lần lượt nằm phía bên trái và bên phải của điểm O. Tìm tọa độ điểm M thuộc (E) sao cho MF12 + 2MF22 đạt giá trị nhỏ nhất. Tìm giá trị nhỏ nhất đó.
Câu 8.b (1,0 điểm) Trong không gian tọa độ Oxyz cho tam giác ABC có đỉnh A(1; 1; 1), B(5; 1; -2) và C(x, y, 1) (x > 0, y > 0). Tìm y x, sao cho
và diện tích của tam giác ABC bằng √481. Phân giác trong góc A của tam giác ABC cắt BC tại D. Tìm tọa độ điểm D.
Câu 9.b (1,0 điểm) Giải hệ phương trình: 
Download tài liệu để xem chi tiết.
Theo Nghị định 147/2024/ND-CP, bạn cần xác thực tài khoản trước khi sử dụng tính năng này. Chúng tôi sẽ gửi mã xác thực qua SMS hoặc Zalo tới số điện thoại mà bạn nhập dưới đây: