Hỗ trợ tư vấn
Tư vấn - Giải đáp - Hỗ trợ đặt tài liệu
Mua gói Pro để tải file trên Download.vn (không bao gồm tài liệu cao cấp) và trải nghiệm website không quảng cáo
Tìm hiểu thêm »|
PHÒNG GIÁO DỤC VÀ ĐÀO TẠO ĐỀ THI CHÍNH THỨC |
ĐỀ KHẢO SÁT CHẤT LƯỢNG ĐẦU NĂM MÔN: TOÁN - LỚP 7 |
Câu 1 (2.0 điểm). Thực hiện phép tính

Câu 2 (2.0 điểm). Tìm x, biết.

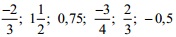
Câu 3 (2.0 điểm). Hãy sắp xếp các số hữu tỉ sau theo thứ tự tăng dần:
![]()
Câu 4 (3.0 điểm). Cho hai tia chung gốc đối nhau Ox, Oy. Trong cùng nửa mặt phẳng bờ chứa tia Ox, vẽ hai tia Oz, Ot sao cho
góc xOz = 30o, góc xOt = 105o
1) Tính số đo góc zOt?
2) Chứng tỏ rằng tia Ot là tia phân giác của góc zOy.
Câu 5 (1.0 điểm). Tìm tất cả các số tự nhiên x, sao cho: (x + 2)(x - 3)(x - 6) < 0.
--------------------------------------------------
|
PHÒNG GIÁO DỤC VÀ ĐÀO TẠO ĐỀ THI CHÍNH THỨC |
ĐỀ KHẢO SÁT CHẤT LƯỢNG ĐẦU NĂM MÔN: NGỮ VĂN - LỚP 7 |
Câu 1 (2.0 điểm).
Đọc câu văn sau và thực hiện các yêu cầu ở bên dưới:
Mẹ sẽ đưa con đến trường, cầm tay con dắt qua cánh cổng, rồi buông tay mà nói: "Đi đi con, hãy can đảm lên, thế giới này là của con, bước qua cánh cổng trường là một thế giới kì diệu sẽ mở ra".
(Theo Ngữ văn lớp 7, tập 1, trang 7)
a) Câu văn trên được trích trong văn bản nào? Ai là tác giả?
b) Tìm 2 từ ghép đẳng lập có trong câu văn?
c) Theo em, thế giới kì diệu khi bước qua cánh cổng trường là những gì?
d) Nêu ý nghĩa của câu văn trên?
Câu 2 (3.0 điểm).
Phát hiện và phân tích giá trị của phép tu từ trong bài ca dao:
Công cha như núi ngất trời,
Nghĩa mẹ như nước ở ngoài biển Đông.
Núi cao biển rộng mênh mông,
Cù lao chín chữ ghi lòng con ơi!
(Theo Ngữ văn lớp 7, tập 1, trang 35)
Câu 3 (5.0 điểm).
Kể lại một câu chuyện đã cho em bài học về kĩ năng sống.
Download tài liệu để xem chi tiết.
Theo Nghị định 147/2024/ND-CP, bạn cần xác thực tài khoản trước khi sử dụng tính năng này. Chúng tôi sẽ gửi mã xác thực qua SMS hoặc Zalo tới số điện thoại mà bạn nhập dưới đây: