Hỗ trợ tư vấn
Tư vấn - Giải đáp - Hỗ trợ đặt tài liệu
Mua gói Pro để tải file trên Download.vn (không bao gồm tài liệu cao cấp) và trải nghiệm website không quảng cáo
Tìm hiểu thêm »
PHÒNG GIÁO DỤC VÀ ĐÀO TẠO
|
ĐỀ KHẢO SÁT HỌC SINH LỚP 9 – LẦN 1
|
Câu 1. (2,0 điểm)
Đọc câu văn sau đây và trả lời các câu hỏi bên dưới:
“Nếp sống giản dị và thanh đạm của Bác Hồ, cũng như các vị danh nho xưa, hoàn toàn không phải là một cách tự thần thánh hoá, tự làm cho khác đời, hơn đời, mà đây là lối sống thanh cao, một cách di dưỡng tinh thần, một quan niệm thẩm mĩ về cuộc sống, có khả năng đem lại hạnh phúc thanh cao cho tâm hồn và thể xác.”
(Ngữ văn 9 - Tập một)
a. Câu văn trên được trích trong văn bản nào, của ai?
b. Hãy giải nghĩa:
- Danh nho
- Di dưỡng tinh thần
Câu 2. (2,0 điểm)
Tìm nghĩa gốc, nghĩa chuyển và phương thức chuyển nghĩa của các từ in đậm trong các câu thơ sau:
a. Ngày xuân con én đưa thoi
Thiều quang chín chục đã ngoài sáu mươi.
(Truyện Kiều - Nguyễn Du)
b. Ngày xuân em hãy còn dài
Xót tình máu mủ thay lời nước non.
(Truyện Kiều - Nguyễn Du)
Câu 3. (6,0 điểm)
Viết bài văn giới thiệu về Nguyễn Du và Truyện Kiều.
I. Phần trắc nghiệm.
Viết vào bài làm chữ cái trước những câu trả lời mà em chọn là kết quả đúng.
Câu 1. Điều kiện xác định của biểu thức
là:![]()
Câu 2. Tính
được kết quả là:![]()
Câu 3. Cho tam giác ABC vuông ở A, biết BC = 13; AB = 12 giá trị của sinB là:![]()
Câu 4. Cho tam giác ABC vuông tại A, đường cao AH. Hệ thức nào sau đây sai?
A. BC.AH = AB.AC B. AH2 = AB2 + AC2
C. AC2 = BC.CH D. AH2 = BH.CH
II. Phần tự luận.
Câu 5. Tính:
a) ![]()
b) Tính giá trị của biểu thức ![]()
Câu 6.
Tìm x biết ![]()
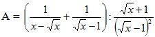
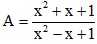
Câu 7. Cho biểu thức 
a) Tìm tập xác định và rút biểu thức A
b) Tim giá trị của x để ![]()
c) Tìm giá trị lớn nhất của biểu thức P = A - 9√x
Câu 8. Cho ΔABC vuông tại A, đường cao AH; HB = 3,6cm; HC = 6,4cm.
a) Tính độ dài các đoạn thẳng: AB, AC, AH.
b) Kẻ HE vuông góc AB; HF vuông góc AC. Tính diện tích tứ giác BEFC.
c) Kẻ phân giác AD (D thuộc BC), chứng minh ![]()
Câu 9. Tìm GTLN và GTNN của biểu thức sau:![]()
Download tài liệu để xem thêm chi tiết.
Theo Nghị định 147/2024/ND-CP, bạn cần xác thực tài khoản trước khi sử dụng tính năng này. Chúng tôi sẽ gửi mã xác thực qua SMS hoặc Zalo tới số điện thoại mà bạn nhập dưới đây: