Đề thi khảo sát đầu năm Lớp 9 tỉnh Đăk Lăk môn Toán Năm học 2012 - 2013

UBND HUYỆN KRÔNG BUK
PHÒNG GIÁO DỤC & ĐÀO TẠO

KIỂM TRA KHẢO SÁT ĐẦU NĂM LỚP 9
MÔN: TOÁN

Thời gian làm bài: 45 phút (không kể thời gian giao đề)

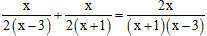
Câu 1: Mẫu thức chung của hai phân thức bằng:
A. x(1 – x)2 B. 2(1 – x)2 C. 2x(x – 1)2 D. 2x(1 – x)

Câu 2: Tập nghiệm của phương trình |x – 4| = 5 là:
A. {9; -1} B.{-9; 1} C. {1; -1} D. {9; -9}

Câu 3: Cho phương trình . Để phương trình có nghiệm x = 2 thì m có giá trị là:
A. m = 1 B. m = -1 C. m = 2 D. m = -2

Câu 4: Giải phương trình x2 – 5 =0 ta được
A. x=5 B. x = √5 C. x = -√5 D. x = √5 và x = -√5

Câu 5: Giá trị của biểu thức x2 + 2xy + y2 tại x = 77 và y = 23 là :
A. -7700 B. 10 000 C. 7700 D. -7500

Câu 6: Rút gọn biểu thức với a<0 ta được
A. -3a B. -7a C. 3a D. 7a

Câu 7: Điều kiện xác định của phương trình: là:
A. x # 1 B. x # 1; x# 2 C.x # 2 D. x # 3

Câu 8: Phân tích đa thức x3 - 9x thành nhân tử, ta được:
A. x2(x - 9) B. x(x2 + 9) C. x(x+3)(x-3) D. x(x-9)(x+9)

Câu 9: Cho tam giác ABC có M là trung điểm của AB; N là trung điểm của AC; biết MN = 20cm. Khi đó độ dài cạnh BC bằng:
A. 10cm B. 20cm C. 30cm D. 40cm

Câu 10: Hãy chọn câu đúng. Nếu ΔABC đồng dạng với ΔA’B’C’ theo tỉ số a thì ΔA’B’C’ đồng dạng với ΔABC theo tỉ số:
A. a B.1/a C. 1 D. 2

Câu 11: Câu nào sau đây sai?
A. Hình thoi có một góc vuông là hình vuông
B. Hình thang có hai đường chéo bằng nhau là hình thang cân
C. Tổng các góc trong tứ giác bằng 3600.
D. Hình chữ nhật có hai đường chéo bằng nhau là hình vuông.

Câu 12: Một hình hộp chữ nhật có
A. 6 mặt, 6 đỉnh, 12 cạnh B. 8 mặt, 6 đỉnh, 12 cạnh
C. 6 mặt, 12 đỉnh, 8 cạnh D. 6 mặt, 8 đỉnh, 12 cạnh

Câu 13: Chọn câu trả lời đúng. Phương trình có tập nghiệm là:
A. s = {0; -8} B. s = {0} C. s = {0; -1/7} D. s = {0; 3}

Câu 14: Tam giác có cạnh đáy bằng a, chiều cao tương ứng bằng h thì diện tích là:
A. ah B. 2ah C. 2/3ah D. 1/2ah

Câu 15: Với giá trị nào của x thì căn thức √(4x-2) có nghĩa

Câu 16: Chọn câu trả lời đúng. Trục đối xứng của hình thang cân là:
A. Đường chéo của hình thang cân.
B. Đường thẳng đi qua trung điểm các cạnh bên của hình thang cân.
C. Đường thẳng vuông góc với hai đáy của hình thang cân.
D. Đường thẳng đi qua trung điểm hai đáy của hình thang cân.

Câu 17: Nghiệm của bất phương trình là:
A. x > 4 B. x < 4 C. x > 5 D. x < 5

Câu 18: Một hình chữ nhật có chu vi là 60cm, chiều rộng bằng 2/3.Diện tích của hình chữ nhật là:
A. 72cm2 B. 216cm2 C. 90cm2 D. 48cm2

Câu 19: Trong tam giác vuông có góc nhọn α thì tỉ số giữa cạnh đối và cạnh kề được gọi là:
A. sinα B. cosα C. cotα D. tanα

Câu 20: Với giá trị nào của x thì 3x – 5 không nhỏ hơn 2x
A. Không có giá trị nào B. x ≥ 5 C. x ≤ 5 D. Mọi x

Câu 21: Tính giá trị biểu thứcta được
A. 20 B. 18 C. 22 D. 30

Câu 22: Cho hình thoi ABCD, O là giao điểm của hai đường chéo. Biết AB = 5cm, OA = 3cm. Khi đó diện tích hình thoi ABCD bằng:
A. 12cm2 B. 24cm2 C. 48cm2 D. 96cm2

Download tài liệu để xem thêm chi tiết.

Chia sẻ bởi:
Liên kết tải về
Tìm thêm: Toán 9
Xác thực tài khoản!

Theo Nghị định 147/2024/ND-CP, bạn cần xác thực tài khoản trước khi sử dụng tính năng này. Chúng tôi sẽ gửi mã xác thực qua SMS hoặc Zalo tới số điện thoại mà bạn nhập dưới đây:

Số điện thoại chưa đúng định dạng!
Số điện thoại này đã được xác thực!
Bạn có thể dùng Sđt này đăng nhập tại đây!
Lỗi gửi SMS, liên hệ Admin
Sắp xếp theo
👨
Đóng
Chỉ thành viên Download Pro tải được nội dung này! Download Pro - Tải nhanh, website không quảng cáo! Tìm hiểu thêm
Nhắn tin Zalo