Đề thi học sinh giỏi tỉnh Bạc Liêu môn Toán lớp 10 (Năm học 2010 - 2011) - Có đáp án Sở GD&ĐT Bạc Liêu

SỞ GIÁO DỤC VÀ ĐÀO TẠO
BẠC LIÊU
(Đề thi chính thức)

KỲ THI CHỌN HỌC SINH GIỎI VÒNG TỈNH LỚP 10, 11
NĂM HỌC: 2010 - 2011

MÔN THI: TOÁN - LỚP 10
(Thời gian làm bài 180 phút không kể thời gian giao đề)
--------------------------------------------------------------------------------


Câu 1: (4 điểm)

Hãy tìm tất cả các số để khi thêm vào tích sau ta được một số chia hết cho 2011.

A = (20112 - 1)2010.20102011

Câu 2: (4 điểm)

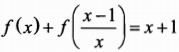
Tìm tất cả các hàm số f(x) xác định trên R thỏa mãn , với mọi x # 0, x # 1

Câu 3: (4 điểm)

Giải phương trình:

Câu 4: (4 điểm)

Cho ba số thực dương a, b, c thỏa mãn điều kiện . Tìm giá trị lớn nhất của biểu thức S = a + b + c

Câu 5: (4 điểm)

Cho tam giác đều ABC nội tiếp đường tròn (C) có tâm O và bán kính R. Chứng minh:

Download tài liệu để xem thêm chi tiết

Chia sẻ bởi: 👨 Nguyễn Thu Ngân
Liên kết tải về
Tìm thêm: Toán 10
Xác thực tài khoản!

Theo Nghị định 147/2024/ND-CP, bạn cần xác thực tài khoản trước khi sử dụng tính năng này. Chúng tôi sẽ gửi mã xác thực qua SMS hoặc Zalo tới số điện thoại mà bạn nhập dưới đây:

Số điện thoại chưa đúng định dạng!
Số điện thoại này đã được xác thực!
Bạn có thể dùng Sđt này đăng nhập tại đây!
Lỗi gửi SMS, liên hệ Admin
Sắp xếp theo
👨
Đóng
Chỉ thành viên Download Pro tải được nội dung này! Download Pro - Tải nhanh, website không quảng cáo! Tìm hiểu thêm
Nhắn tin Zalo