Hỗ trợ tư vấn
Tư vấn - Giải đáp - Hỗ trợ đặt tài liệu
Mua gói Pro để tải file trên Download.vn (không bao gồm tài liệu cao cấp) và trải nghiệm website không quảng cáo
Tìm hiểu thêm »
SỞ GIÁO DỤC VÀ ĐÀO TẠO
|
ĐỀ THI CHỌN HỌC SINH GIỎI LỚP 9
|
Bài 1. (2,5 điểm)
Cho biểu thức
với n thuộc N, n # 8
a/ Rút gọn biểu thức với ![]()
b/ Tìm tất cả các giá trị n (n thuộc N, n # 8) sao cho P là một số nguyên tố.
Bài 2. (2,0 điểm)
a/ Tìm x, biết: ![]()
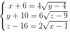
b/ Giải hệ phương trình: 
Bài 3. (2,0 điểm)
a/ Cho hàm số bậc nhất y = ax + b có đồ thị đi qua điểm M(1;4). Biết rằng đồ thị của hàm số đã cho cắt trục Ox tại điểm P có hoành độ dương và cắt trục Oy tại điểm Q có tung độ dương. Tìm a và b sao cho OP + OQ nhỏ nhất (với O là gốc tọa độ)
b/ Tìm số tự nhiên có 2 chữ số. Biết rằng nếu lấy tổng của 2 chữ số ấy cộng với 3 lần tích của 2 chữ số ấy thì bằng 17.
Bài 4. (2,0 điểm)
Cho tam giác ABC. Gọi I là tâm đường tròn nội tiếp tam giác ABC, qua I vẽ đường thẳng vuông góc với đường thẳng CI, đường thẳng này cắt các cạnh AC, BC lần lượt tại M và N.
a/ Chứng minh rằng hai tam giác IAM và BAI đồng dạng.
b/ Chứng minh rằng: ![]()
Bài 5. (1,5 điểm)
Cho tam giác ABC có góc BAC là góc tù. Vẽ các đường cao CD và BE của tam giác ABC (D nằm trên đường thẳng AB, E nằm trên đường thẳng AC). Gọi M, N lần lượt là chân đường vuông góc của các điểm B và C trên đường thẳng DE. Biết rằng S1 là diện tích tam giác ADE, S2 là diện tích tam giác BEM và S3 là diện tích tam giác CDN. Tính diện tích tam giác ABC theo S1, S2, S3
Download tài liệu để xem chi tiết.
Theo Nghị định 147/2024/ND-CP, bạn cần xác thực tài khoản trước khi sử dụng tính năng này. Chúng tôi sẽ gửi mã xác thực qua SMS hoặc Zalo tới số điện thoại mà bạn nhập dưới đây: