Hỗ trợ tư vấn
Tư vấn - Giải đáp - Hỗ trợ đặt tài liệu
Mua gói Pro để tải file trên Download.vn (không bao gồm tài liệu cao cấp) và trải nghiệm website không quảng cáo
Tìm hiểu thêm »
SỞ GIÁO DỤC VÀ ĐÀO TẠO
|
KỲ THI CHỌN HSG LỚP 9 THCS CẤP TỈNH
|
Câu 1: (4,0 điểm)
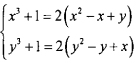
1. Giải hệ phương trình: 
2. Cho phương trình x4 - 2mx2 + 2m - 1 = 0 (1)
a. Tìm m để (1) có 4 nghiệm x1, x2, x3, x4 thỏa mãn: ![]()
b. Giải phương trình (1) với m vừa tìm được ở a.
Câu 2: (4,0 điểm)
Cho (P): y = x2; (d): y = x + m
Tìm m để (P) và (d) cắt nhau tại hai điểm phân biệt A, B sao cho: tam giác OAB là tam giác vuông
Câu 3: (4,0 điểm)
1. Cho 4 số a, b, c, d thỏa mãn điều kiện: a + b + c + d =
2. Chứng minh rằng: a2 + b2 + c2 + d2 ≥ 1
2. Cho m # -1 và a3 - 3a2 + 3a(m + 1) - (m + 1)2 = 0.
Hãy tìm giá trị nhỏ nhất (GTNN) của a.
Câu 4: (3,0 điểm)
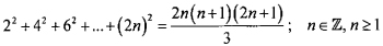
Chứng minh rằng: ![]()
Câu 5: (5,0 điểm)
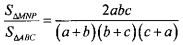
Cho tam giác ABC có các phân giác trong các góc nhọn BAC, ACB, CBA theo thứ tự cắt các cạnh đối tại các điểm M, P, N. Đặt a = BC, b = CA, c = AB; SΔMNP, SΔABC theo thứ tự là diện tích của tam giác MNP và tam giác ABC.
a. Chứng minh rằng: ![]()
b. Tìm giá trị lớn nhất (GTLN) của
.
Download tài liệu để xem thêm chi tiết
Theo Nghị định 147/2024/ND-CP, bạn cần xác thực tài khoản trước khi sử dụng tính năng này. Chúng tôi sẽ gửi mã xác thực qua SMS hoặc Zalo tới số điện thoại mà bạn nhập dưới đây: