Hỗ trợ tư vấn
Tư vấn - Giải đáp - Hỗ trợ đặt tài liệu
Mua gói Pro để tải file trên Download.vn (không bao gồm tài liệu cao cấp) và trải nghiệm website không quảng cáo
Tìm hiểu thêm »
SỞ GIÁO DỤC VÀ ĐÀO TẠO
|
KỲTHI CHỌN HỌC SINH GIỎI LỚP 9 THCS
|
MÔN THI: TOÁN
Thời gian làm bài: 150 phút (không kể thời gian giao đề)
--------------------------------------------------------------------------------
Câu I (4,0 điểm)
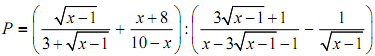
Cho biểu thức: 
1) Rút gọn P.
2) Tính giá trị của P khi 
Câu II (4,0 điểm)
Trong cùng một hệ toạ độ, cho đường thẳng d: y = x - 2 và parabol (P): y = - x2. Gọi A và B là giao điểm của d và (P).
1) Tính độ dài AB.
2) Tìm m để đường thẳng d': y = - x + m cắt (P) tại hai điểm C và D sao cho CD = AB.
Câu III (4,0 điểm)
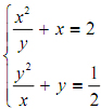
1) Giải hệ phương trình: 
2) Tìm nghiệm nguyên của phương trình 2x6 + y2 - 2x3y = 320
Câu IV (6,0 điểm)
Cho tam giác nhọn ABC có AB > AC. Gọi M là trung điểm của BC; H là trực tâm; AD, BE, CF là các đường cao của tam giác ABC. Kí hiệu (C1) và (C2) lần lượt là đường tròn ngoại tiếp tam giác AEF và DKE, với K là giao điểm của EF và BC. Chứng minh
rằng:
1) ME là tiếp tuyến chung của (C1) và (C1).
2) KH ⊥ AM.
Câu V (2,0 điểm)
Với 0 ≤ x, y, z ≤ 1. Tìm tất cả các nghiệm của phương trình:![]()
Download tài liệu để xem thêm chi tiết
Theo Nghị định 147/2024/ND-CP, bạn cần xác thực tài khoản trước khi sử dụng tính năng này. Chúng tôi sẽ gửi mã xác thực qua SMS hoặc Zalo tới số điện thoại mà bạn nhập dưới đây: