Hỗ trợ tư vấn
Tư vấn - Giải đáp - Hỗ trợ đặt tài liệu
Mua gói Pro để tải file trên Download.vn (không bao gồm tài liệu cao cấp) và trải nghiệm website không quảng cáo
Tìm hiểu thêm »
SỞ GIÁO DỤC VÀ ĐÀO TẠO
|
KỲ THI CHỌN HỌC SINH GIỎI TỈNH
|
Câu 1 (3,0 điểm)
1) Giải phương trình nghiệm nguyên: 8x2 - 3xy - 5y = 25
2) Tìm tất cả số nguyên dương n sao cho A = n.4n + 3n chia hết 7
Câu 2 (4,0 điểm)
1) Rút gọn biểu thức: 
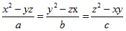
2) Cho các số thực dương a, b, c, x, y, z khác 0 thoả mãn ![]()
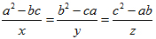
Chứng minh rằng: ![]()
Câu 3 (4,0 điểm)
1) Cho phương trình: x2 - 6x - m = 0 (Với m là tham số). Tìm m để phương trình đã cho có hai nghiệm x1 và x2 thoả mãn x12 - x22 = 12
2) Giải hệ phương trình: 
Câu 4 (7,0 điểm)
1) Cho đường tròn (O) đường kính BD = 2R, dây cung AC của đường tròn (O) thay đổi nhưng luôn vuông góc và cắt BD tại H. Gọi P, Q, R, S lần lượt là chân các đường vuông góc hạ từ H xuống AB, AD, CD, CB.
a) Chứng minh rằng: HA2 + HB2 + HC2 + HD2 không đổi.
b) Chứng minh rằng: PQRS là tứ giác nội tiếp.
2) Cho hình vuông ABCD và MNPQ có bốn đỉnh M, N, P, Q lần lượt thuộc các cạnh AB, BC, CD, DA của hình vuông. Chứng minh rằng: ![]()
Câu 5 (2,0 điểm)
Cho a, b, c là các số thực dương. Chứng minh rằng:![]()
Download tài liệu để xem thêm chi tiết
Theo Nghị định 147/2024/ND-CP, bạn cần xác thực tài khoản trước khi sử dụng tính năng này. Chúng tôi sẽ gửi mã xác thực qua SMS hoặc Zalo tới số điện thoại mà bạn nhập dưới đây: