Hỗ trợ tư vấn
Tư vấn - Giải đáp - Hỗ trợ đặt tài liệu
Mua gói Pro để tải file trên Download.vn (không bao gồm tài liệu cao cấp) và trải nghiệm website không quảng cáo
Tìm hiểu thêm »
SỞ GIÁO DỤC VÀ ĐÀO TẠO
|
KỲ THI CHỌN HỌC SINH GIỎI VÒNG TỈNH LỚP 9 THCS
|
Câu 1: (4 điểm)
a. Cho S = 1 + 3 + 32 + 33 + 34 + ... + 396 + 397 + 398 + 399. Chứng minh S chia hết cho 40
b. Rút gọn phân thức: 
Câu 2: (4 điểm)
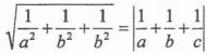
a. Thực hiện phép tính: 
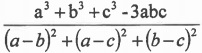
b. Cho a + b + c = 0; a, b, c # 0. Chứng minh đẳng thức:
Câu 3: (4 điểm)
a. Giải phương trình: ![]()
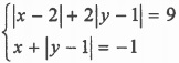
b. Giải hệ phương trình: 
Câu 4: (5 điểm)
Cho tứ giác ABCD nội tiếp trong đường tròn (O; R) có hai đường chéo AC, BD vuông góc với nhau tại I (I khác O). Vẽ đường kính CE.
a. Chứng minh ABDE là hình thang cân.
b. Chứng minh: ![]()
c. Từ A và B vẽ các đường thẳng vuông góc đến CD lần lượt cắt BD tại F, cắt AC tại K. Chứng minh A, B, K, F là bốn đỉnh của một tứ giác đặc biệt.
Câu 5: (3 điểm)
Cho hai điểm A, B cố định và điểm M di động sao cho MAB là tam giác có ba góc nhọn. Gọi H là trực tâm của tam giác MAB và K là chân đường cao vẽ từ M của tam giác MAB. Tìm giá trị lớn nhất của tích KH.KM
Câu 1: (2 điểm)
Hãy chỉ ra và nêu tác dụng của biện pháp tu từ trong đoạn thơ sau:
Chiếc thuyền im bến mỏi trở về nằm
Nghe chất muối thấm dần trong thớ vỏ
(Quê Hương - Tế Hanh)
Câu 2: (6 điểm)
"Mặt trời mọc rồi lặn, mặt trăng tròn rồi lại khuyết nhưng ánh sáng mà người thầy rọi vào ta sẽ còn mãi trong cuộc đời" (Quách Mạt Nhược)
Viết một bài văn ngắn (khoảng 20 dòng) trình bày suy nghĩ của em về câu nói trên.
Câu 3: (12 điểm)
Vẻ đẹp độc đáo của bài thơ Ánh Trăng (Nguyễn Duy)
Download tài liệu để xem thêm chi tiết.
Theo Nghị định 147/2024/ND-CP, bạn cần xác thực tài khoản trước khi sử dụng tính năng này. Chúng tôi sẽ gửi mã xác thực qua SMS hoặc Zalo tới số điện thoại mà bạn nhập dưới đây: