Đề thi học sinh giỏi lớp 9 THCS tỉnh Hòa Bình năm 2010 - 2011 môn Toán - Có đáp án Sở GD&ĐT Hòa Bình

SỞ GIÁO DỤC & ĐÀO TẠO
HÒA BÌNH

Đề thi chính thức

KỲ THI HỌC SINH GIỎI LỚP 9 THCS
NĂM HỌC 2010 - 2011
Môn thi: TOÁN

Thời gian làm bài: 150 phút
Ngày thi: 22/3/2011

Bài 1: (4 điểm)

1. Phân tích thành nhân tử các biểu thức sau:

a/ A = x3 + 3x2y - 4xy2 - 12y3 b/ B = x3 + 4y2 - 2xy + x2 + 8y2

2. Cho . Chứng minh rằng a là một số nguyên.

Bài 2: (6 điểm)

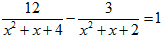
1. Giải phương trình:

2. Cho hàm số y = (m - 1)x + m2 - 1 (m: tham số). Tìm m để đồ thị hàm số là đường thẳng cắt hai trục toạ độ tại hai điểm A, B sao cho tam giác OAB cân.

3. Tìm x để biểu thức đạt giá trị nhỏ nhất.

Bài 3: (4 điểm)

1. Cho tam giác ABC nhọn nội tiếp trong đường tròn tâm O, có bán kính bằng 2. Biết góc BAC = 60o, đường cao AH = 3. Tính diện tích tam giác ABC.

2. Đội cờ vua của trường A thi đấu với đội cờ vua của trường B, mỗi đấu thủ của trường này thi đấu với mọi đấu thủ của trường kia một trận. Biết rằng tổng số trận đấu bằng bốn lần tổng số cầu thủ của cả hai đội và số cầu thủ của trường B là số lẻ. Tìm số cầu thủ của mỗi đội.

Bài 4: (5 điểm)

Cho nửa đường tròn tâm O bán kính R, đường kính AB. Hai điểm E, F thay đổi trên nửa đường tròn sao cho số đo cung AE khác không và nhỏ hơn số đo cung AF, biết EF = R . Giả sử AF cắt BE tại H, AE cắt BF tại I.

1. Chứng minh rằng tứ giác IEHF nội tiếp được trong một đường trũn.

2. Gọi EG và FQ là các đường cao của tam giác IEF, chứng minh rằng độ dài QG không đổi.

3. Chứng minh rằng QG song song với AB.

Bài 5: (1 điểm)

Giải phương trình:

Download tài liệu để xem thêm chi tiết.

Chia sẻ bởi: 👨 Nguyễn Thu Ngân
Liên kết tải về
Tìm thêm: Toán 9
Xác thực tài khoản!

Theo Nghị định 147/2024/ND-CP, bạn cần xác thực tài khoản trước khi sử dụng tính năng này. Chúng tôi sẽ gửi mã xác thực qua SMS hoặc Zalo tới số điện thoại mà bạn nhập dưới đây:

Số điện thoại chưa đúng định dạng!
Số điện thoại này đã được xác thực!
Bạn có thể dùng Sđt này đăng nhập tại đây!
Lỗi gửi SMS, liên hệ Admin
Sắp xếp theo
👨
Đóng
Chỉ thành viên Download Pro tải được nội dung này! Download Pro - Tải nhanh, website không quảng cáo! Tìm hiểu thêm
Nhắn tin Zalo