Hỗ trợ tư vấn
Tư vấn - Giải đáp - Hỗ trợ đặt tài liệu
Mua gói Pro để tải file trên Download.vn (không bao gồm tài liệu cao cấp) và trải nghiệm website không quảng cáo
Tìm hiểu thêm »
SỞ GIÁO DỤC VÀ ĐÀO TẠO
|
ĐỀ THI CHỌN HỌC SINH GIỎI CẤP TỈNH LỚP 9 THCS
|
MÔN THI: TOÁN
Thời gian làm bài: 150 phút (không kể thời gian giao đề)
--------------------------------------------------------------------------------
Bài 1: (4,0 điểm)
1) Cho biểu thức
. Tìm điều kiện của x để A > 0.
2) Cho 
Tính giá trị của biểu thức: B = (x4 - x3 - x2 + 2x - 1)2011
Bài 2: (4,0 điểm)
1) Giải phương trình:
.
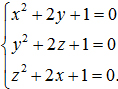
2) Cho x, y z là nghiệm của hệ phương trình: 
Tính giá trị của biểu thức: C = x10 + y3 + z2011.
Bài 3: (4,0 điểm)
1) Tìm các cặp số (a, b) thỏa mãn hệ thức:
.
2) Tìm tất cả các số tự nhiên n sao cho: n2 – 14n + 38 là một số chính phương.
Bài 4: (5,0 điểm)
Cho đường tròn tâm O, hai đường kính AB và CD vuông góc với nhau. E là một điểm nằm trên cung nhỏ AD. Nối CE cắt OA tại M và nối BE cắt OD tại N.
1) Chứng minh: ![]()
2) Chứng minh tích
là một hằng số. Từ đó, suy ra giá trị nhỏ nhất của tổng
, khi đó cho biết vị trí của điểm E?
Bài 5: (3,0 điểm)
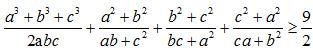
Cho a, b, c là ba số thực dương. Chứng minh bất đẳng thức:
![]()
Download tài liệu để xem thêm chi tiết
Theo Nghị định 147/2024/ND-CP, bạn cần xác thực tài khoản trước khi sử dụng tính năng này. Chúng tôi sẽ gửi mã xác thực qua SMS hoặc Zalo tới số điện thoại mà bạn nhập dưới đây: