Hỗ trợ tư vấn
Tư vấn - Giải đáp - Hỗ trợ đặt tài liệu
Mua gói Pro để tải file trên Download.vn (không bao gồm tài liệu cao cấp) và trải nghiệm website không quảng cáo
Tìm hiểu thêm »
SỞ GIÁO DỤC VÀ ĐÀO TẠO
|
KÌ THI CHỌN HỌC SINH GIỎI TỈNH
|
Thời gian làm bài: 180 phút (không kể thời gian giao đề)
Ngày thi: 05/04/2013
Câu 1 (2,5 điểm)
a) Cho hàm số y = x2 - 3x + 2 và hàm số y = -x + m. Tìm m để đồ thị các hàm số đó cắt nhau tại hai điểm phân biệt A, B đồng thời khoảng cách từ trung điểm I của đoạn thẳng AB đến các trục tọa độ bằng nhau.
b) Giải bất phương trình: 
Câu 2 (2,5 điểm)
a) Trong mặt phẳng tọa độ Oxy cho tam giác ABC có B(1; 2). Đường thẳng Δ là đường phân giác trong của góc A có phương trình 2x + y - 1 = 0; Khoảng cách từ C đến Δ gấp 3 lần khoảng cách từ B đến Δ. Tìm tọa độ của A và C biết C nằm trên trục tung.
b) Cho tam giác ABC vuông ở A, gọi α là góc giữa hai đường trung tuyến BM và CN của tam giác. Chứng minh rằng ![]()
Câu 3 (2,5 điểm)
a) Cho tam giác ABC. Gọi D, E lần lượt là các điểm thỏa mãn:
;
. Tìm vị trí của điểm K trên AD sao cho 3 điểm B, K, E thẳng hàng.
b) Cho tam giác ABC vuông ở A; BC = a; CA = b; AB = c. Xác định điểm I thỏa mãn hệ thức:
; Tìm điểm M sao cho biểu thức (b2MB2 + c2MC2 - 2a2MA2) đạt giá trị lớn nhất.
Câu 4 (2,5 điểm)
a) Giải phương trình: ![]()
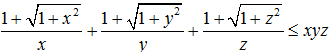
b) Cho x, y, z là các số thực dương thỏa mãn x + y + z = xyz. Chứng minh rằng:
Download tài liệu để xem thêm chi tiết
Theo Nghị định 147/2024/ND-CP, bạn cần xác thực tài khoản trước khi sử dụng tính năng này. Chúng tôi sẽ gửi mã xác thực qua SMS hoặc Zalo tới số điện thoại mà bạn nhập dưới đây: