Hỗ trợ tư vấn
Tư vấn - Giải đáp - Hỗ trợ đặt tài liệu
Mua gói Pro để tải file trên Download.vn (không bao gồm tài liệu cao cấp) và trải nghiệm website không quảng cáo
Tìm hiểu thêm »
SỞ GIÁO DỤC VÀ ĐÀO TẠO
|
KỲ THI CHỌN HỌC SINH GIỎI TỈNH CẤP THPT
|
Thời gian làm bài: 150 phút (không kể thời gian giao đề)
Câu 1.
a) Giải phương trình: ![]()
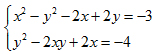
b) Giải hệ phương trình: 
Câu 2.
Tam giác ABC có độ dài các cạnh là a, b, c và có diện tích bằng 1. Chứng minh rằng: ![]()
Câu 3.
a) Xác định hình dạng tam giác ABC biết các góc A, B, C của tam giác đó thỏa mãn hệ thức: ![]()
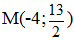
b) Cho hình thoi ABCD, biết đường thẳng AB, AC lần lượt có phương trình 2x – y + 7 = 0, 3x – y + 8 = 0 và đường thẳng BC đi qua điểm
. Lập phương trình đường thẳng CD.
Câu 4.
Các số thực x, y, z dương thỏa mãn điều kiện:
. Tìm giá trị nhỏ nhất của biểu thức:
Download tài liệu để xem thêm chi tiết
Theo Nghị định 147/2024/ND-CP, bạn cần xác thực tài khoản trước khi sử dụng tính năng này. Chúng tôi sẽ gửi mã xác thực qua SMS hoặc Zalo tới số điện thoại mà bạn nhập dưới đây: