Hỗ trợ tư vấn
Tư vấn - Giải đáp - Hỗ trợ đặt tài liệu
Mua gói Pro để tải file trên Download.vn (không bao gồm tài liệu cao cấp) và trải nghiệm website không quảng cáo
Tìm hiểu thêm »
SỞ GIÁO DỤC VÀ ĐÀO TẠO
|
KỲ THI CHỌN HSG LỚP 10 NĂM HỌC 2011-2012
|
Câu 1 (3,0 điểm)
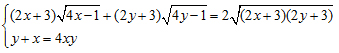
1. Giải hệ phương trình: 
2. Tìm tất cả hàm số f: ¡ → ¡ thoả mãn: f(x + y) = f(x) + y với mọi x, y thuộc ¡ và ![]()
Câu 2 (2,0 điểm)
Tìm tất cả các số nguyên tố p, q sao cho (7p - 4p)(7q - 4q) chia hết cho pq.
Câu 3 (2,0 điểm).
Cho tứ giác ABCD ngoại tiếp được một đường tròn. Một đường thẳng Δ đi qua A cắt đoạn thẳng BC, tia đối của tia CD tương ứng tại E, F (E, F không trùng với B, C). Gọi I1, I2 và I3 lần lượt là tâm đường tròn nội tiếp của các tam giác ABE, ECF và FAD. Tiếp tuyến của đường tròn song song với CD (gần CD hơn) cắt Δ tại H. Chứng minh rằng H là trực tâm của tam giác I1I2I3
Câu 4 (2,0 điểm).
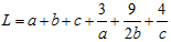
Xét các số thực dương a, b, c thỏa mãn a + 2b + 3c ≥ 20. Tìm giá trị nhỏ nhất của biểu thức:![]()
Câu 5 (1,0 điểm).
Tìm tất cả các tập hợp X là tập con của tập số nguyên dương thoả mãn các tính chất: X chứa ít nhất hai phần tử và với mọi m, n thuộc X, m < n thì tồn tại k thuộc X sao cho n = mk2.
Download tài liệu để xem thêm chi tiết.
Theo Nghị định 147/2024/ND-CP, bạn cần xác thực tài khoản trước khi sử dụng tính năng này. Chúng tôi sẽ gửi mã xác thực qua SMS hoặc Zalo tới số điện thoại mà bạn nhập dưới đây: