Đề thi học sinh giỏi giải toán trên máy tính cầm tay năm học 2012 - 2013 môn Toán khối 9 Sở GD&ĐT Long An

SỞ GIÁO DỤC VÀ ĐÀO TẠO
LONG AN

(Đề thi chính thức)

KỲ THI CHỌN HSG GIẢI TOÁN TRÊN MÁY TÍNH CẦM TAY
NĂM HỌC 2012-2013
MÔN: TOÁN - KHỐI 9

(Thời gian làm bài 60 phút không kể thời gian giao đề)
Ngày thi: 27/01/2013

Chú ý:

+ Tất cả các kết quả (nếu không giải thích gì thêm) lấy giá trị gần đúng 5 chữ số thập phân không làm tròn.

+ Mỗi câu làm đúng học sinh được 1 điểm.

Bài 1:

Cho: Đề thi học sinh giỏi Toán khối 9

Tìm α (làm tròn đến phút).

Bài 2:

Tính Đề thi học sinh giỏi Toán khối 9

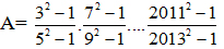
Bài 3:

Tính Đề thi học sinh giỏi Toán khối 9

Bài 4:

Tìm các cặp số nguyên dương nghiệm đúng phương trình: Đề thi học sinh giỏi Toán khối 9

Bài 5:

Tìm chữ số tận cùng của tổng B = 21 + 35 + 49 + …+ 20138045.

Bài 6:

Cho một hình thoi có cạnh bằng 24,13 cm, khoảng cách giữa 2 cạnh là 12,25cm.

a) Tính các góc của hình thoi (làm tròn đến độ).

b) Tính diện tích hình tròn (O) nội tiếp hình thoi.

Bài 7:

Cho 2 đồ thị của hàm số Đề thi học sinh giỏi Toán khối 9. Gọi A là giao điểm của 2 đồ thị, B và C theo thứ tự là giao điểm của đồ thị (1) và (2) với trục hoành.

a) Tính diện tích tam giác ABC ;

b) Viết phương trình đường phân giác của góc BAC.

Bài 8:

Tứ giác ABCD có O là giao điểm hai đường chéo. AB=6cm; OA=8cm; OB=4cm; OD=6cm. Tính độ dài AD.

Bài 9:

Từ điểm P nằm ngoài đường tròn (O; R) kẻ 2 tiếp tuyến PA, PB với đường tròn (A, B là các tiếp điểm). Gọi H là chân đường vuông góc hạ từ A đến đường kính BC. Giả sử PO = d, hãy tính AH biết R = 0,67cm; d = 1,36cm.

Bài 10:

Cho dãy số u2= 4; u3 = 12; u4 = 23; u5 = 37; u6 = 54;….; un+2 = aun+1 + bun + c.

a) Tìm các hệ số a, b ,c ;

b) Tính các giá trị u1; u20.

Download tài liệu để xem thêm chi tiết

Chia sẻ bởi: 👨 Jack
Liên kết tải về
Tìm thêm: Toán 9
Xác thực tài khoản!

Theo Nghị định 147/2024/ND-CP, bạn cần xác thực tài khoản trước khi sử dụng tính năng này. Chúng tôi sẽ gửi mã xác thực qua SMS hoặc Zalo tới số điện thoại mà bạn nhập dưới đây:

Số điện thoại chưa đúng định dạng!
Số điện thoại này đã được xác thực!
Bạn có thể dùng Sđt này đăng nhập tại đây!
Lỗi gửi SMS, liên hệ Admin
Sắp xếp theo
👨
Đóng
Chỉ thành viên Download Pro tải được nội dung này! Download Pro - Tải nhanh, website không quảng cáo! Tìm hiểu thêm
Nhắn tin Zalo