Hỗ trợ tư vấn
Tư vấn - Giải đáp - Hỗ trợ đặt tài liệu
Mua gói Pro để tải file trên Download.vn (không bao gồm tài liệu cao cấp) và trải nghiệm website không quảng cáo
Tìm hiểu thêm »
UBND HUYỆN THỦY NGUYÊN
|
KỲ THI HỌC SINH GIỎI CẤP HUYỆN
|
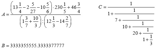
Bài 1: (1,5 điểm)
Tính giá trị của các biểu thức sau:

Bài 2: (0,5 điểm)
Tìm 5 chữ số tận cùng của 1233072
Bài 3: (1,5 điểm)
a) Cho P(x) = 35x5 - x4 - 5x3 - 9x2 + 39x - 1. Tính M = P(2) + 2P(5) - P(3)?
b) Cho f(x) = 5x4 - 4x3 + 2x2 + 7x + 8 và g(x) = 3x - 1
Tìm số dư r và đa thức thương Q(x) khi thực hiện phép chia f(x) cho g(x).
Bài 4: (0,5 điểm)
Tính giá trị của biểu thức: T = cos210 + cos220 + cos230 + ... + cos2880 + cos2890
Bài 5: (1,0 điểm)
Tìm số chính phương có 4 chữ số sao cho hai chữ số đầu giống nhau, hai chữ số cuối giống nhau.
Bài 6: (0,5 điểm)
Tìm ước số chung lớn nhất (ƯCLN) và bội số chung nhỏ nhất (BCNN) của 1185180 và 1086415.
Bài 7: (1,25 điểm)
Cho quy trình sau (trên máy tính CASIO)

Bấm liên tiếp n lần dấu "=" để được Un+5 (thực hiện quy trình trên kết thúc bằng dấu “=” là ta tính được U6)
a) Tính đúng các giá trị U6; U9; U10
b) Quy trình này tính U ncó công thức như thế nào?
Bài 8: (1,5 điểm)
Cho tam giác ABC có AB = 3,721cm ; BC = 4,728cm; góc ABC = 38o. Tính độ dài đường cao AH, trung tuyến AM và cạnh AC của tam giác ABC.
Bài 9. (1,25 điểm)
Cho ΔABC vuông tại B, cạnh BC = 20132014 cm; hai trung tuyến BM và CN vuông góc với nhau. Tính CN?
Bài 10. (0,5 điểm) Cho
![]()
Tính giá trị của biểu thức P = a1 + a2 + a3 + a4 + ... + a2013 + a2014 biết a1; a2; a3; a4; ...; a2013; a2014 là các số nguyên khác 0.
Download tài liệu để xem chi tiết.
Theo Nghị định 147/2024/ND-CP, bạn cần xác thực tài khoản trước khi sử dụng tính năng này. Chúng tôi sẽ gửi mã xác thực qua SMS hoặc Zalo tới số điện thoại mà bạn nhập dưới đây: