Hỗ trợ tư vấn
Tư vấn - Giải đáp - Hỗ trợ đặt tài liệu
Mua gói Pro để tải file trên Download.vn (không bao gồm tài liệu cao cấp) và trải nghiệm website không quảng cáo
Tìm hiểu thêm »
SỞ GD&ĐT BẮC NINH
|
ĐỀ THI GIÁO VIÊN DẠY GIỎI CẤP TRƯỜNG
|
Bài I (2 điểm)
Cho hàm số: y = x3 – 3mx2 + 3(m2 – 1)x – (m2 – 1).
Tìm tất cả các giá trị của tham số m để đồ thị cắt trục Ox tại ba điểm phân biệt với hoành độ dương.
Bài II (2 điểm)
a. Giải bất phương trình: ![]()
b. Tìm m để phương trình: (cosx + 1)(cos2x – m.cosx) = m sin2x có đúng hai nghiệm x thuộc đoạn [0; 2π/3]
Bài III (2 điểm)
a. Gieo liên tiếp ba lần một con xúc xắc. Tìm xác suất của biến cố: tổng số chấm không nhỏ hơn 16.
b. Cho ΔABC. Giả sử G là giao điểm các đường trung tuyến của tam giác. Kí hiệu góc GAB = α, góc GBC = β, góc GCA = γ.
Chứng minh rằng:
; trong đó a, b, c là độ dài ba cạnh và S là diện tích của tam giác.
Bài IV (2 điểm)
a. Tính:
với a là tham số dương.
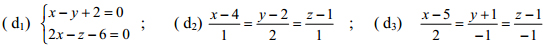
b. Trong không gian với hệ toạ độ Oxyz cho 3 đường thẳng:![]()
Chứng minh rằng (d1) chéo (d2) và viết phương trình đường thẳng (d) cắt (d1) cắt (d2) và song song với (d3).
Bài V (2 điểm)
Cho: x, y, z > 0, x + y + z = 1.
Tìm giá trị lớn nhất của S = xyz (x + y)(y + z)(z + x).
Câu 1 ( 5 điểm).
Một vật nhỏ khối lượng M = 100g treo vào đầu sợi dây lí tưởng, chiều dài l = 20cm như (hình 1). Dùng vật nhỏ m = 50g có tốc độ v0 bắn vào M. Bỏ qua sức cản của không khí. Lấy g = 10m/s2. Coi va chạm là tuyệt đối đàn hồi.

a.Xác định v0 để M lên đến vị trí dây nằm ngang.
b.Xác định v0 tối thiểu để M chuyển động tròn xung quanh O.
Câu 2 (4 điểm).
Hai mũi nhọn S1, S2 ban đầu cách nhau 8cm gắn ở đầu một cần rung có tần số f = 100Hz, được đặt chạm nhẹ vào mặt nước. Tốc độ truyền sóng trên mặt nước là v = 0,8 m/s.
a. Gõ nhẹ cần rung cho hai điểm S1, S2 dao động theo phương thẳng đứng với phương trình dạng u = A.cos200πt. Viết phương trình dao động của điểm M trên mặt nước cách đều S1, S2 một khoảng d = 8cm
b. Tìm số điểm dao động cực đại trên chu vi của tam giác S1MS2.
c. Cố định tần số rung, thay đổi khoảng cách S1S2. Để lại quan sát được hiện tượng giao thoa ổn định trên mặt nước, phải tăng khoảng cách S1S2 một đoạn ít nhất bằng bao nhiêu? Với khoảng cách ấy thì giữa S1, S2 có bao nhiêu điểm có biên độ cực đại. Coi rằng khi có giao thoa ổn định thì hai điểm S1S2 là hai đi ểm có biên độ cực tiểu.
Câu 3 (4điểm).
Cho mạch điện xoay chiều như (hình 2). Biến trở R, Cuộn dây có hệ số tự cảm L = 1/π√3 (H) với điện trở r, điện dung của tụ điện C = √3.10-3/16π (F). Hiệu điện thế xoay chiều hai đầu mạch có biểu thức: uAB = U0.cos100πt (V), bỏ qua điện trở các dây nối.

a. Khi biến trở có giá trị R1 thì các hiệu điện thế hiệu dụng: UAN = 300 (V), UMB = 60√3 (V) và hiệu điện thế tức thời uAN lệch pha so với uMB một góc π/2. Tính R1 và r. Viết biểu thức hiệu điện thế tức thời giữa hai điểm A, N.
b.Thay đổi R đến khi công suất tiêu thụ trên nó cực đại. Tính giá trị của R lúc này.
Câu 4 (2 điểm).
Hai electron ban đầu ở rất xa nhau cùng chuyển động lại gần nhau với tốc độ ban đầu bằng nhau là v0 = 106m/s. Cho biết điện tích và khối lượng của electronl ần lượt là q = 1,6.10-19 C và m = 9,1.10-31kg. Bỏ qua mọi ma sát. Xác định khoảng cách nhỏ nhất r mà hai electron này có thể tiến đến gần nhau?
Câu 5 (5 điểm).
Một con lắc lò xo nằm ngang có độ cứng K = 40 (N/m), vật nhỏ khối lượng m = 100(g). Ban đầu giữ vật sao cho lò xo bị nén 10(cm) rồi thả nhẹ.
1. Bỏ qua mọi ma sát, vật dao động điều hoà.
a. Viết phương trình dao động của vật, chọn gốc O là vị trí cân bằng của vật, chiều dương là chiều chuyển động của vật lúc thả, gốc thời gian lúc thả vật.
b.Xác định thời điểm lò xo nén 5cm lần thứ 2012 kể từ lúc thả.
c. Khi vật nặng đi qua vị trí cân bằng, giữ chặt điểm chính giữa của lò xo. Tìm biên độ dao động của vật sau đó.
2.Thực tế có ma sát giữa vật và mặt bàn với hệ số ma sát trượt giữa vật và mặt bàn là μ = 0,1. Lấy g = 10(m/s2). Tính tốc độ của vật lúc gia tốc của nó đổi chiều lần thứ 4.
Câu 1. (3 điểm)
Đồng chí hãy cho biết nguyên tắc bổ sung là gì? Nguyên tắc đó được thể hiện như thế nào trong cấu trúc và cơ chế di truyền? Sự vi phạm nguyên tắc bổ sung dẫn đến hậu quả gì?
Câu 2. (3 điểm)
Vì sao nói tế bào là đơn vị cấu trúc và chức năng của cơ thể sinh vật?
Câu 3. (3 điểm)
F1 lai với cơ thể khác được thế hệ lai phân li có tỉ lệ kiểu hình 3:3:1:1
a. Cho ví dụ về kiểu hình và viết sơ đồ lai phù hợp với mỗi quy luật di truyền thỏa mãn tỉ lệ trên?
b. Phân biệt các quy luật di truyền đó?
Câu 4. (3 điểm)
Trình bày các nhân tố tiến hóa và vai trò của mỗi nhân tố đó. Quá trình hình thànhquần thể thích nghi và hình thành loài mới có điểm gì giống và khác nhau về cơ chế?
Câu 5. (2 điểm)
Ổ sinh thái là gì? Hãy giải thích vì sao ổ sinh thái của các loài khác nhau lại thường không trùng nhau?
Câu 6. (2điểm)
a. Tại sao những cơ quan thoái hóa không còn giữ chức năng gì lại vẫn được di truyền từ đời này sang đời khác mà không bị chọn lọc tự nhiên loại bỏ?
b. Từ một loài sinh vật nếu không có sự cách li về mặt địa lí thì có thể hình thành nên các loài khác nhau được không? Giải thích
Câu 7. (4 điểm)
Ở một loài thực vật, cho cây lá quăn, hạt trắng lai với cây lá thẳng, hạt đỏ, F1 thu được toàn cây lá quăn, hạt đỏ. F1 giao phấn với nhau, F2 thu được 20000 cây với 4 loại kiểu hình trong đó có 4800 cây lá thẳng, hạt đỏ. Hãy biện luận và viết sơ đồ lai từ P đến F2. Tính số lượng cây của các loại kiểu hình còn lại ởF2.
Biết rằng không xảy ra đột biến và mỗi gen quy định một tính trạng, diễn biến của NST ở hai bên tế bào sinh hạt phấn và sinh noãn là giống nhau.
Download tài liệu để xem thêm chi tiết.
Theo Nghị định 147/2024/ND-CP, bạn cần xác thực tài khoản trước khi sử dụng tính năng này. Chúng tôi sẽ gửi mã xác thực qua SMS hoặc Zalo tới số điện thoại mà bạn nhập dưới đây: