Hỗ trợ tư vấn
Tư vấn - Giải đáp - Hỗ trợ đặt tài liệu
Mua gói Pro để tải file trên Download.vn (không bao gồm tài liệu cao cấp) và trải nghiệm website không quảng cáo
Tìm hiểu thêm »| SỞ GIÁO DỤC VÀ ĐÀO TẠO LONG AN (Đề thi chính thức) |
KỲ THI CHỌN HỌC SINH GIỎI LỚP 12 CẤP TỈNH - VÒNG 1 Ngày thi: 06 / 10 / 2011 Môn thi: TOÁN Bảng: A Thời gian làm bài: 180 phút (Không kể thời gian phát đề) |
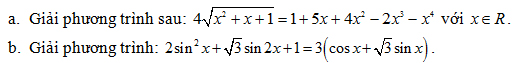
Câu 1: (5,0 điểm)

Câu 2: (5,0 điểm)
a. Cho tam giác ABC vuông cân tại B, cạnh AB = 2. Trong mặt phẳng chứa tam giác ABC lấy điểm M thỏa mãn MA2 + MB2 = MC2. Tìm quỹ tích của điểm M.
b. Cho tam giác ABC có hai trung tuyến BM và CN hợp với nhau một góc bằng 600, BM = 6, CN = 9. Tính độ dài trung tuyến còn lại của tam giác ABC.
Câu 3: (4,0 điểm)

a. Xác định số hạng tổng quát của dãy số (Un)
b. Tính tổng S = u12 + u22 + u32 + ... + u22011
Câu 4: (3,0 điểm)
Cho là ba số thực không âm và thỏa mãn điều kiện a2 + b2 + c2 = 1
Tìm giá trị lớn nhất của biểu thức: M = (a + b + c)3 - (a + b + c) + 6abc
Câu 5: (3,0 điểm)

Với x, y là các số thực
Download tài liệu để xem thêm chi tiết
Theo Nghị định 147/2024/ND-CP, bạn cần xác thực tài khoản trước khi sử dụng tính năng này. Chúng tôi sẽ gửi mã xác thực qua SMS hoặc Zalo tới số điện thoại mà bạn nhập dưới đây: