Hỗ trợ tư vấn
Tư vấn - Giải đáp - Hỗ trợ đặt tài liệu
Mua gói Pro để tải file trên Download.vn và trải nghiệm website không quảng cáo
Tìm hiểu thêm »| SỞ GIÁO DỤC VÀ ĐÀO TẠO THÀNH PHỐ ĐÀ NẴNG (Đề thi chính thức) |
KIỂM TRA HỌC KÌ II NĂM HỌC: 2010 - 2011 Môn: TOÁN - LỚP: 12 Thời gian: 90 phút (không kể thời gian giao đề) |
I- PHẦN CHUNG CHO TẤT CẢ THÍ SINH (5,0 điểm)
Câu 1 (2,5 điểm). Tính các tích phân sau:

Câu 2 (2,5 điểm).
Trong mặt phẳng tọa độ Oxy, cho hình phẳng (H) giới hạn bởi trục hoành và đường cong y = -x3 + 2x2
1) Tính diện tích hình phẳng (H).
2) Tính thể tích khối tròn xoay được tạo thành khi quay hình phẳng (H) quanh trục Ox.
II- PHẦN RIÊNG - PHẦN TỰ CHỌN (5,0 điểm)
Thí sinh chỉ được làm một trong hai phần (phần 1 hoặc phần 2).
1- Theo chương trình Chuẩn
Câu 3.a (2,0 điểm).
1) Giải phương trình trên tập số phức i(z + 1) - 5 + z = 0
2) Tìm số phức z, biết z + 2z + 3 - 2i = 0
Câu 4.a (3,0 điểm).
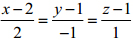
Trong không gian với hệ tọa độ Oxyz, cho điểm I (1;1;3) và đường thẳng (d) có phương trình
. Gọi H là hình chiếu vuông góc của I lên đường thẳng (d).
1) Viết phương trình mặt phẳng (P) chứa I và vuông góc với đường thẳng (d).
2) Tìm tọa độ điểm H.
3) Viết phương trình mặt cầu có tâm là I và cắt đường thẳng (d) tại hai điểm A, B sao cho diện tích của tam giác IAB bằng 
2- Theo chương trình Nâng cao
Câu 3.b (2,0 điểm).
1) Giải phương trình trên tập số phức z(z - i) = -3
2) Viết dạng lượng giác của số phức z biết:
và một acgumen của 
Câu 4.b (3,0 điểm).
Trong không gian với hệ tọa độ Oxyz, cho điểm I (1; 1; 3) và mặt phẳng (P) có phương trình x + y - z + 1 = 0. Gọi (S) là mặt cầu có tâm là I và tiếp xúc với mặt phẳng (P) tại điểm A.
1) Viết phương trình đường thẳng (d) qua I và vuông góc với mặt phẳng (P).
2) Tìm tọa độ tiếp điểm A.
3) Viết phương trình mặt phẳng (Q), biết rằng mặt phẳng (Q) song song với mặt phẳng (P) và cắt mặt cầu (S) theo một đường tròn có chu vi bằng 6π.
Download tài liệu để xem thêm chi tiết
Theo Nghị định 147/2024/ND-CP, bạn cần xác thực tài khoản trước khi sử dụng tính năng này. Chúng tôi sẽ gửi mã xác thực qua SMS hoặc Zalo tới số điện thoại mà bạn nhập dưới đây: