Hỗ trợ tư vấn
Tư vấn - Giải đáp - Hỗ trợ đặt tài liệu
Mua gói Pro để tải file trên Download.vn (không bao gồm tài liệu cao cấp) và trải nghiệm website không quảng cáo
Tìm hiểu thêm »| TRƯỜNG THCS NGUYỄN THIỆN THUẬT KHOÁI CHÂU- HƯNG YÊN |
ĐỀ KIỂM TRA HỌC KỲ II MÔN TOÁN LỚP 9 |
Đề 6. Thời gian làm bài: 90 phút
I. Trắc nghiệm khách quan (2,5 điểm)
Trong mỗi câu từ câu 1 đến câu 8 đều có 4 phương án trả lời a, b, c, d; trong đó chỉ có một phương án đúng. Hãy khoanh tròn vào chữ cái đứng trước phương án đúng.

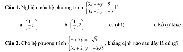
a. Hệ phương trình trên có vô số nghiệm
b. Hệ phương trình trên có một nghiệm duy nhất
c. Hệ phương trình trên vô nghiệm
d. Hệ phương trình trên có hai nghiệm.
Câu 3. Tứ giác ABCD có số đo các góc A, B,C,D tỉ lệ với 8 :15 : 28 : 21 thì:
a. Tứ giác ABCD là tứ giác nội tiếp
b. Tứ giác ABCD không nội tiếp được
c. Tứ giác ABCD là một hình thoi
d. Tứ giác ABCD là một hình thang cân.
Câu 4. Một hình nón có độ dài đường kính đáy là 16dm, độ dài đường sinh là 30dm. Diện tích xung quanh của hình đó là:
a. 140π dm2 b. 240π dm2 c. 239π dm2 d. 345π dm2
Câu 5. Điền dấu “x” vào ô thích hợp.
| Khẳng định | Đúng | Sai |
| a. Trong hai đường tròn, hai cung bằng nhau nếu chúng có cùng số đo. | ||
| b. Số đo của góc có đỉnh nằm bên trong đường tròn bằng nửa tổng số đo hai cung bị chắn. | ||
| c. Với đoạn thẳng AB và góc α (00 <α < 1800) cho trước thì quỹ tích các điểm M thoả mãn góc AMB =α là hai cung chứa góc α dựng trên đoạn AB. | ||
| d. Trong hai đường tròn, xét hai cung bất kỳ, cung nào có số đo lớn hơn thì lớn hơn. | ||
| e. Hàm số y = −1,2x2 đồng biến khi x > 0, nghịch biến khi x < 0 | ||
| g. Hàm số y = −1,2x2 đồng biến khi x < 0 , nghịch biến khi x > 0 |
Download tài liệu để xem thêm chi tiết
Theo Nghị định 147/2024/ND-CP, bạn cần xác thực tài khoản trước khi sử dụng tính năng này. Chúng tôi sẽ gửi mã xác thực qua SMS hoặc Zalo tới số điện thoại mà bạn nhập dưới đây: