Hỗ trợ tư vấn
Tư vấn - Giải đáp - Hỗ trợ đặt tài liệu
Mua gói Pro để tải file trên Download.vn (không bao gồm tài liệu cao cấp) và trải nghiệm website không quảng cáo
Tìm hiểu thêm »ĐỀ THI THỬ TUYỂN SINH ĐẠI HỌC NĂM 2013
Môn: Toán học
Thời gian: 180 phút
ĐỀ SỐ 01
I/ PHẦN CHUNG CHO TẤT CẢ THÍ SINH (7 điểm)
Câu I: (2 đ). cho hàm số: y = x4 -2(m + 1)x2 + m (Cm)
1. khảo sát và vẽ đồ thị hàm số với m = 1.
2. Tìm m để (Cm) có ba điển cực trị A, B, C sao cho tam giác BAC có diện tích bằng căn 2 với điểm A thuộc trục tung.

Câu IV: (1 đ). Cho hình chóp S.ABCD có SA vuông góc với đáy, ABCD là hình bình hành có AB = b, BC = 2b, góc ABC = 600, SA = a. Gọi M, N là trung điểm BC, SD. Chứng minh MN song song với (SAB) và tính thể tích khối tứ diện AMNC theo a, b.
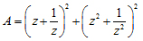
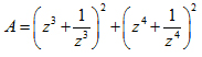
Câu V: (1 đ). Cho x, y, z là các số thực dương thỏa mãn x2 + y2 + z2 ≤ xyz. Tìm giá trị lớn nhất của biểu thức:

II/ PHẦN RIÊNG (thí sinh chỉ được làm một trong hai phần (A hoặc B))
A. Theo chương trình chuẩn
Câu VI: (2 đ)
1. Trong mặt phẳng với hệ tọa độ Oxy, cho điểm M (2; 1) và đường thẳng f: x – y + 1 = 0. Viết phương trình đường tròn đi qua M cắt f ở 2 điểm A, B phân biệt sao cho tam giác MAB vuông tại M và có diện tích bằng 2.
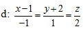
2. Trong không gian Oxyz cho hai điểm A(1;4;2), B(-1; 2; 4) và đường thẳng
. Viết phương trình đường thẳng f đi qua trung điểm của AB, cắt d và song song với (P): x + y – 2z = 0.
Câu VII: (1 đ) Cho số phức z là nghiệm phương trình: z2 + z + 1 = 0. Tính giá trị biểu thức:

B. Theo chương nâng cao
Câu VI: (2 đ)
1. Trong mặt phẳng Oxy, cho đường tròn (C ): (x - 4)2 + y2 = 25 và M(1;-1). Viết phương trình đường thẳng qua M cắt (C) tại A, B sao cho MA = 3MB.
2. Trong không gian Oxyz, viết phương trình mặt phẳng đi qua A(0;-1;2), B(1;0;3) và tiếp xúc với mặt cầu (S): (x - 1)2 + (y - 2)2 + (z + 1)2 = 2
Câu VII: (1 đ) Cho số phức z là nghiệm phương trình: z2 + z + 1 = 0. Tính giá trị biểu thức:

Download tài liệu để xem thêm chi tiết
Theo Nghị định 147/2024/ND-CP, bạn cần xác thực tài khoản trước khi sử dụng tính năng này. Chúng tôi sẽ gửi mã xác thực qua SMS hoặc Zalo tới số điện thoại mà bạn nhập dưới đây: