Hỗ trợ tư vấn
Tư vấn - Giải đáp - Hỗ trợ đặt tài liệu
Mua gói Pro để tải file trên Download.vn (không bao gồm tài liệu cao cấp) và trải nghiệm website không quảng cáo
Tìm hiểu thêm »Giải Vật lí 11 Cánh diều Bài 3: Nguồn điện năng lượng điện và công suất giúp các em học sinh lớp 11 có thêm nhiều gợi ý tham khảo để biết cách trả lời các câu hỏi trang 97, 98, 99, 100, 101, 102, 103 thuộc chủ đề 4 Dòng điện mạch điện.
Giải Lý 11 Bài 3 Cánh diều các em sẽ hiểu được kiến thức lý thuyết về Nguồn điện năng lượng điện và công suất và biết cách trả lời toàn bộ các câu hỏi của Bài 3 Chủ đề 4 trong sách giáo khoa Vật lí 11. Đồng thời qua đó giúp quý thầy cô tham khảo để soạn giáo án cho học sinh của mình.
Một đèn mắc nối tiếp với một pin như Hình 3.3.

Nêu sự biến đổi năng lượng xảy ra trong pin và trong đèn khi đóng khoá K.
Lời giải:
Khi đóng khoá K, năng lượng từ pin được chuyển hoá một phần sang cho đèn làm cho đèn phát sáng.
Từ biểu thức 3.1, chứng minh suất điện động có cùng đơn vị với hiệu điện thế.
Lời giải:
Ở chủ đề trước ta có biểu thức A = U.I.t hay A = qU
Từ biểu thức 3.1 ta thấy A = qE nên suất điện động có đơn vị giống với đơn vị của hiệu điện thế.
Nêu điểm giống và khác nhau giữa suất điện động của nguồn điện và hiệu điện thế giữa hai điểm trong mạch điện.
Lời giải:
- Giống nhau: đều là đại lượng đặc trưng cho khả năng thực hiện công.
- Khác nhau:
+ Suất điện động đặc trưng cho khả năng thực hiện công của nguồn điện.
+ Hiệu điện thế đặc trưng cho khả năng thực hiện công của điện trường tạo ra bởi nguồn điện.
Nối mỗi cực của một pin với mỗi cực của một vôn kế có điện trở rất lớn.
Số chỉ của vôn kế có ý nghĩa gì?
Lời giải:
Số chỉ của vôn kế cho biết hiệu điện thế giữa hai đầu của pin.
Mô tả ảnh hưởng của điện trở trong của nguồn điện lên hiệu điện thế giữa hai cực của nguồn.
Lời giải:
Điện trở trong càng lớn thì hiệu điện thế giữa hai cực của nguồn càng nhỏ và ngược lại.
Trong trường hợp nào, hiệu điện thế giữa hai cực của nguồn điện bằng suất điện động của nó?
Lời giải:
Hiệu điện thế giữa hai cực của nguồn điện bằng suất điện động của nó khi điện trở trong bằng 0 hoặc rất rất nhỏ.
Cho mạch điện như Hình 3.6.

Khi mạch hở, vôn kế chỉ 13,0 V.
Khi mạch kín, vôn kế chỉ 12,0 V và cường độ dòng điện qua đèn là 3,0 A.
Biết vôn kế có điện trở rất lớn. Tìm suất điện động và điện trở trong của pin.
Lời giải:
Gọi suất điện động và điện trở trong của pin lần lượt là E và r.
Vôn kế có điện trở rất lớn nên coi như dòng điện đi qua vôn kế rất nhỏ
Khi mạch hở: UV1 = E = 13 (V)
Khi mạch kín: UV2 = I2Rđ = 3.Rđ = 12 ⇒ Rđ = 4Ω
Lại có E = I2(Rđ + r) ⇒ 13 = 3(4 + r) ⇒ r =
\(\frac{1}{3}\)Ω
Trong trường hợp đoạn mạch chỉ có điện trở R, phần năng lượng điện mà đoạn mạch tiêu thụ biến đổi hoàn toàn thành năng lượng nhiệt.
Suy luận biểu thức tính công suất toả nhiệt trên điện trở khi có dòng điện với cường độ I chạy qua.
Lời giải:
Nhiệt năng sinh ra trong khoảng thời gian t là: Q = I2Rt.
Năng lượng điện tiêu thụ được chuyển hoá thành nhiệt năng: A = P.t.
Do năng lượng điện tiêu thụ được chuyển hoá hoàn toàn thành nhiệt nên:
Q = A ⇒ I2Rt = P.t
Suy ra, công suất toả nhiệt: Php = I2R.
Tính công suất điện hao phí dưới dạng nhiệt trên một dây cáp dài 15 km dẫn dòng điện có cường độ 100 A. Biết điện trở trên một đơn vị chiều dài của dây cáp này là 0,20 Ω/km.
Lời giải:
Công suất hao phí trên toàn bộ dây cáp: Php = I2R = 1002.0,2.15 = 30000 J
Giải thích tại sao khi điện thoại sắp hết pin, bạn nên giảm độ sáng của màn hình.
Lời giải:
Vì màn hình là một trong những thứ ngốn điện nhiều nhất nên khi điện thoại sắp hết pin chúng ta cần giảm độ sáng của màn hình để tiết kiệm năng lượng điện còn lại trong pin.
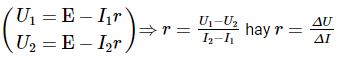
Vì sao có thể xác định điện trở trong bằng biểu thức:
\(r=\frac{\triangle U}{\triangle I}\).
Lời giải:
Điều chỉnh biến trở để thu được cặp giá trị hiệu điện thế và cường độ dòng điện khác nhau là (U1; I1) và (U2; I2). Sau đó ta có thể sử dụng hệ phương trình sau:

Một acquy ô tô 12 V cung cấp dòng điện có cường độ 5 A trong thời gian 2,0 giờ. Năng lượng mà acquy cung cấp trong thời gian này là bao nhiêu jun?
Lời giải:
Năng lượng mà acquy cung cấp: A = U.I.t = 12.5.2.3600 = 432 000 J
Cho mạch điện như Hình 3.8. Con chạy ở vị trí C, chia điện trở R thành R = RAC + RCB.
Tìm biểu thức liên hệ giữa số chỉ của vôn kế, E, RAC và RCB.

Lời giải:
Cường độ dòng điện qua mạch chính:
\(I=\frac{E}{R_{AC}+R_{CB}+r}\)
Số chỉ của vôn kế đo hiệu điện thế hai đầu AC:
UV = UAC = I.RAC =
\(\frac{E}{R_{AC}+R_{CB}+r}.R_{AC}\)
Theo Nghị định 147/2024/ND-CP, bạn cần xác thực tài khoản trước khi sử dụng tính năng này. Chúng tôi sẽ gửi mã xác thực qua SMS hoặc Zalo tới số điện thoại mà bạn nhập dưới đây: