Hỗ trợ tư vấn
Tư vấn - Giải đáp - Hỗ trợ đặt tài liệu
Mua gói Pro để tải file trên Download.vn (không bao gồm tài liệu cao cấp) và trải nghiệm website không quảng cáo
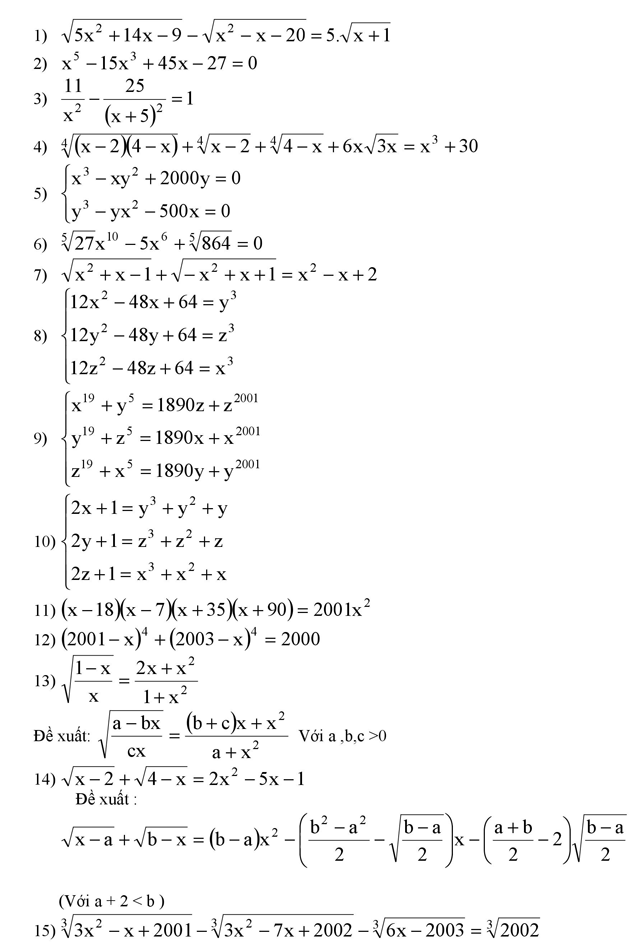
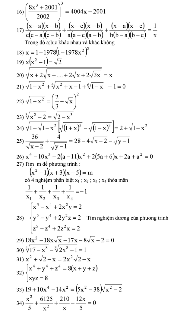
Tìm hiểu thêm »Tuyển chọn 100 bài phương trình và hệ phương trình là tài liệu vô cùng bổ ích dành cho các bạn học sinh có thể tự ôn luyện kiến thức, đồng thời cũng thích hợp cho giáo viên dùng trong việc bồi dưỡng học sinh giỏi môn toán. Tài liệu tổng hợp một số bài toán về phương trình và hệ phương trình hay và khó gặp ở chương trình học môn toán lớp 10. Sau đây là nội dung chi tiết, mời các bạn cùng tham khảo và tải về tại đây.


Download file tài liệu để xem thêm nội dung chi tiết.
Theo Nghị định 147/2024/ND-CP, bạn cần xác thực tài khoản trước khi sử dụng tính năng này. Chúng tôi sẽ gửi mã xác thực qua SMS hoặc Zalo tới số điện thoại mà bạn nhập dưới đây: