Hỗ trợ tư vấn
Tư vấn - Giải đáp - Hỗ trợ đặt tài liệu
Mua gói Pro để tải file trên Download.vn (không bao gồm tài liệu cao cấp) và trải nghiệm website không quảng cáo
Tìm hiểu thêm »Giáo viên: TRẦN HẢI
Dạng 1: Cho hỗn hợp (Fe, FexOy) + HNO3dư → Fe(NO3)3 + NO + H2O. Tính m Fe(NO3)3
Công thức tổng quát: ![]()
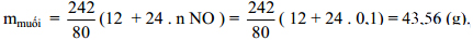
VD1: Hòa tan hết 12gam X gồm có Fe, FeO, Fe2O3, Fe3O4 trong dung dịch HNO3 loãng dư được dung dịch chứa m gam muối và 2,24 lít NO (đktc).Tính m:
Ta có:![]()
VD2: Nung m gam Fe trong oxi được 6 gam hỗn hợp rắn X. Hòa tan hết X trong HNO3 loãng dư được 0,896 lít NO (đktc).Cô cạn dung dịch được m gam muối khan. Tính m.
Ta có:![]()
Dạng 2: Cho hỗn hợp (Fe, FeO, Fe2O3, Fe3O4) + HNO3đ,dư Fe(NO3)3 + NO2 + H2O
Công thức tổng quát: ![]()
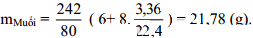
VD1: Hòa tan hết 6g chất rắn X gồm Fe, Fe2O3, FeO, Fe3O4) trong HNO3 đặc nóng dư được 3,36 lít NO2 (đktc). Cô cạn dung dịch được m gam muối khan.Tính m.
Ta có:![]()
VD2: Dẫn lượng khí CO đi qua ống đựng Fe2O3 nung nóng thu được 4,5 gam chất rắn. Hòa tan X trong HNO3 đặc, nóng dư thu được 3,92/2 lít NO2 (đktc) .Cô cạn dung dịch thu được m gam muối khan. Tính m
Ta có:![]()
Dạng 3: Hỗn hợp (Fe, FexOy) + H2SO4 (đ,nóng) → Fe(SO4)3 + SO2 + H2O.
Công thức tổng quát: ![]()
VD1: Đun nóng m gam Fe ngoài không khí sau một thời gian thu được 8,8 gam X gồm Fe, FeO, Fe2O3, Fe3O4). Cho X tác dụng với H2SO4 đ,dư thu được 1,68 lít SO2 (đktc). Tính m
Ta có:
VD2: Hòa tan 30 gam chất rắn X gồm Fe, FeO, Fe2O3, Fe3O4 loãng H2SO4 đ, nóng thu được 11,2 lít SO2 (đktc). Cô cạn dung dịch sau phản ứng được bao nhiêu gam muối khan.
Ta có:![]()
Download tài liệu để xem chi tiết.
Theo Nghị định 147/2024/ND-CP, bạn cần xác thực tài khoản trước khi sử dụng tính năng này. Chúng tôi sẽ gửi mã xác thực qua SMS hoặc Zalo tới số điện thoại mà bạn nhập dưới đây: