Hỗ trợ tư vấn
Tư vấn - Giải đáp - Hỗ trợ đặt tài liệu
Mua gói Pro để tải file trên Download.vn (không bao gồm tài liệu cao cấp) và trải nghiệm website không quảng cáo
Tìm hiểu thêm »|
SỞ GIÁO DỤC VÀ ĐÀO TẠO ĐỀ THI CHÍNH THỨC |
ĐỀ THI TUYỂN SINH LỚP 10 THPT NĂM HỌC 2012-2013 Môn thi: Toán Thời gian: 120 phút không kể thời gian giao đề Ngày thi 30 tháng 6 năm 2012 |
Câu 1. (2 điểm)
1.Tính: 
2. Xác định giá trị của a,biết đồ thị hàm số y = ax - 1 đi qua điểm M(1;5)
Câu 2: (3 điểm)
1. Rút gọn biểu thức:
với a>0,a
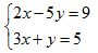
2. Giải hệ phương trình:

3. Chứng minh rằng pt: x2 + mx + m - 1 =0 luôn có nghiệm với mọi giá trị của m.
Giả sử x1,x2 là 2 nghiệm của pt đã cho, tìm giá trị nhỏ nhất của biểu thức: B = x12 + x22 - 4(x1 + x2)
Câu 3: (1,5 điểm)
Một ôtô tải đi từ A đến B với vận tốc 40km/h. Sau 2 giờ 30 phút thì một ôtô taxi cũng xuất phát đi từ A đến B với vận tốc 60 km/h và đến B cùng lúc với xe ôtô tải. Tính độ dài quãng đường AB.
Câu 4: (3 điểm)
Cho đường tròn (O) và một điểm A sao cho OA=3R. Qua A kẻ 2 tiếp tuyến AP và AQ của đường tròn (O), với P và Q là 2 tiếp điểm. Lấy M thuộc đường tròn (O) sao cho PM song song với AQ. Gọi N là giao điểm thứ 2 của đường thẳng AM và đường tròn (O). Tia PN cắt đường thẳng AQ tại K.
1.Chứng minh APOQ là tứ giác nội tiếp.
2.Chứng minh KA2=KN.KP
3.Kẻ đường kính QS của đường tròn (O).Chứng minh tia NS là tia phân giác của góc.
4. Gọi G là giao điểm của 2 đường thẳng AO và PK . Tính độ dài đoạn thẳng AG theo bán kính R.
Câu 5: (0,5điểm)
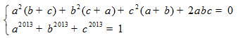
Cho a,b,c là 3 số thực khác không và thoả mãn:

Hãy tính giá trị của biểu thức: 
Download tài liệu để xem thêm chi tiết
Theo Nghị định 147/2024/ND-CP, bạn cần xác thực tài khoản trước khi sử dụng tính năng này. Chúng tôi sẽ gửi mã xác thực qua SMS hoặc Zalo tới số điện thoại mà bạn nhập dưới đây: