Hỗ trợ tư vấn
Tư vấn - Giải đáp - Hỗ trợ đặt tài liệu
Mua gói Pro để tải file trên Download.vn (không bao gồm tài liệu cao cấp) và trải nghiệm website không quảng cáo
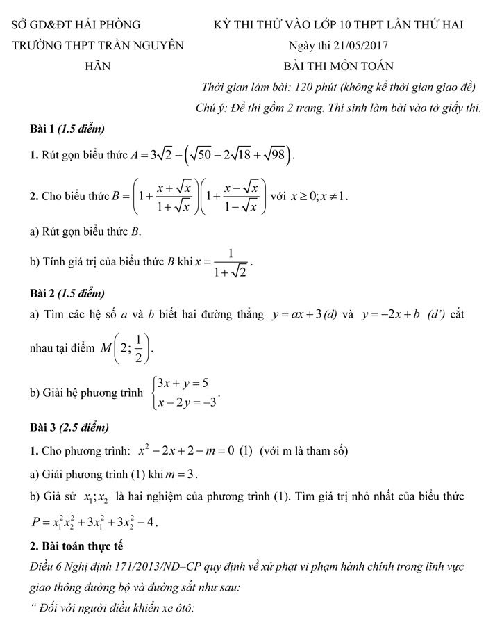
Tìm hiểu thêm »Download.vn xin giới thiệu đến các em học sinh lớp 10 Đề thi thử vào lớp 10 môn Toán trường THPT Trần Nguyên Hãn, Hải Phòng năm học 2017 - 2018 lần 2. Tài liệu này sẽ giúp các em ôn tập và làm quen với các dạng câu hỏi của môn Toán nhằm chuẩn bị tốt nhất cho kỳ thi xét tuyển vào lớp 10 năm học 2017 - 2018 sắp tới. Sau đây, mời các em cùng tham khảo đề thi.
Đề thi thử vào lớp 10 môn Toán chuyên Ngoại Ngữ năm học 2017 - 2018
Đề thi thử vào lớp 10 môn Toán trường THPT chuyên Nguyễn Huệ, Hà Nội (Lần 1)








Theo Nghị định 147/2024/ND-CP, bạn cần xác thực tài khoản trước khi sử dụng tính năng này. Chúng tôi sẽ gửi mã xác thực qua SMS hoặc Zalo tới số điện thoại mà bạn nhập dưới đây: