Hỗ trợ tư vấn
Tư vấn - Giải đáp - Hỗ trợ đặt tài liệu
Mua gói Pro để tải file trên Download.vn (không bao gồm tài liệu cao cấp) và trải nghiệm website không quảng cáo
Tìm hiểu thêm »Đề thi thử THPT Quốc gia năm 2017 môn Toán trường THPT Lạc Hồng, TP HCM bám sát với cấu trúc đề thi môn Toán THPT quốc gia 2017 của Bộ Giáo dục và đào tạo. Tham khảo đề thi giúp các bạn nắm vững kiến thức, làm quen với cấu trúc đề thi và tích lũy kinh nghiệm giải đề. Sau đây, mời các bạn cùng tham khảo đề thi.
Đề thi thử THPT Quốc gia 2017 môn Toán - trường Chuyên Nguyễn Quang Diêu tỉnh Đồng Tháp (Lần 1)
Bộ đề thi thử THPT Quốc gia năm 2017 môn Toán trường THPT Hà Huy Tập, Hà Tĩnh (Lần 1)
Bộ đề thi thử THPT Quốc gia năm 2017 môn Toán trường THPT chuyên Lam Sơn, Thanh Hóa (Lần 2)
|
SỞ GD&ĐT TP HCM TRƯỜNG THPT LẠC HỒNG |
ĐỀ THI THỬ THPT QUỐC GIA NĂM 2017 MÔN: TOÁN Thời gian làm bài: 90 phút Đề thi gồm có 50 câu hỏi trắc nghiệm |







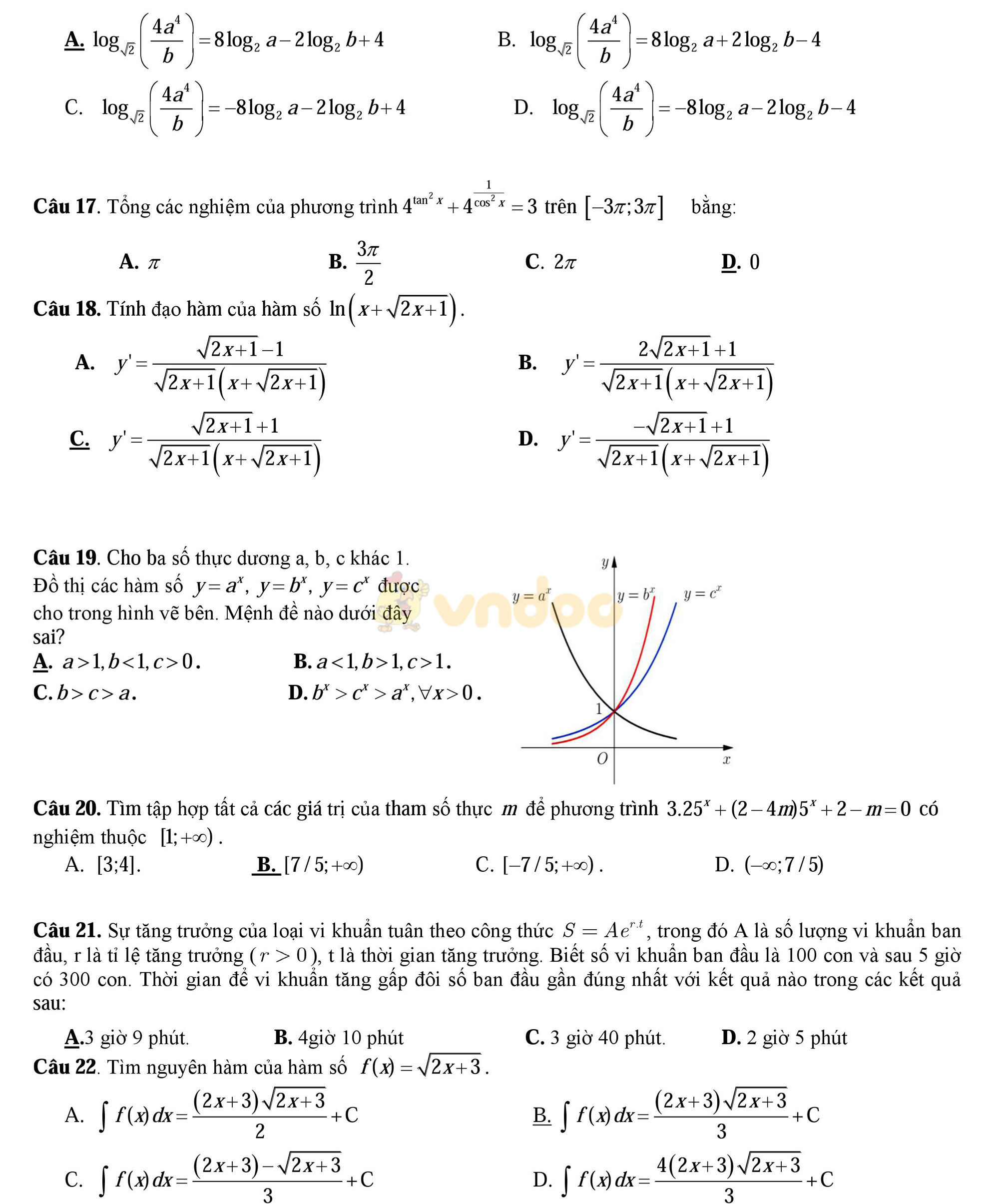
Theo Nghị định 147/2024/ND-CP, bạn cần xác thực tài khoản trước khi sử dụng tính năng này. Chúng tôi sẽ gửi mã xác thực qua SMS hoặc Zalo tới số điện thoại mà bạn nhập dưới đây: