Hỗ trợ tư vấn
Tư vấn - Giải đáp - Hỗ trợ đặt tài liệu
Mua gói Pro để tải file trên Download.vn (không bao gồm tài liệu cao cấp) và trải nghiệm website không quảng cáo
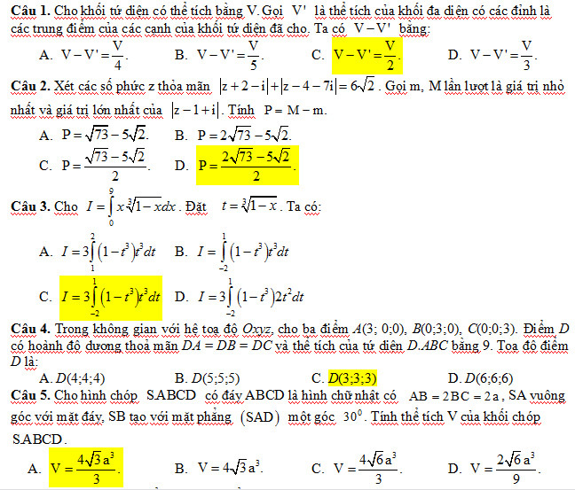
Tìm hiểu thêm »Đề thi thử THPT Quốc gia năm 2017 môn Toán trường THPT Đống Đa, Hà Nội có đáp án kèm theo, giúp các em làm quen với đề thi cũng như cách thức ra đề thi để làm bài thi THPT Quốc gia đạt kết quả cao. Mời các em cùng tham khảo nội dung chi tiết dưới đây:




Tải file PDF hoặc Word để tham khảo Đề thi thử THPT Quốc gia năm 2017 môn Toán trường THPT Đống Đa, Hà Nội
Theo Nghị định 147/2024/ND-CP, bạn cần xác thực tài khoản trước khi sử dụng tính năng này. Chúng tôi sẽ gửi mã xác thực qua SMS hoặc Zalo tới số điện thoại mà bạn nhập dưới đây: