Hỗ trợ tư vấn
Tư vấn - Giải đáp - Hỗ trợ đặt tài liệu
Mua gói Pro để tải file trên Download.vn (không bao gồm tài liệu cao cấp) và trải nghiệm website không quảng cáo
Tìm hiểu thêm »|
SỞ GD&ĐT HÀ NỘI TRƯỜNG THPT CHUYÊN NGUYỄN HUỆ |
ĐỀ THI THỬ ĐẠI HỌC LẦN 2 NĂM 2012 - 2013 Thời gian làm bài: 90 phút, không kể thời gian phát đề |
Đề số 15
I. PHẦN CHUNG CHO TẤT CẢ THÍ SINH (40 câu, từ câu 1 đến câu 40)
Câu 1. Một quần thể thực vật tự thụ phấn có tỉ lệ kiểu gen ở thế hệ P là: 0,45AA : 0,30Aa : 0,25aa.
Cho biết các cá thể có kiểu gen aa không có khả năng sinh sản. Tính theo lí thuyết, tỉ lệ các kiểu gen thu được ở F1 là:
A. 0,525AA : 0,150Aa : 0,325aa. B. 0,36AA : 0,24Aa : 0,40aa.
C. 0,7AA : 0,2Aa : 0,1aa. D. 0,36AA : 0,48Aa : 0,16aa.
Câu 2. Chọn câu sai:
A. Quần thể phân bố trong một phạm vi nhất định gọi là ổ sinh thái của quần thể.
B. Quan hệ hỗ trợ giữa các cá thể cùng loài thể hiện thông qua hiệu quả nhóm.
C. Cạnh tranh là một đặc điểm thích nghi của quần thể.
D. Quan hệ hỗ trợ giữa các cá thể giúp chúng khai thác tối ưu nguồn sống của môi trường.
Câu 3. Nghiên cứu một quần thể động vật cho thấy ở thời điểm ban đầu có 11000 cá thể. Quần thể này có tỉ lệ sinh là 12%/năm, tỉ lệ tử vong là 8%/năm và tỉ lệ xuất cư là 2%/năm. Sau một năm, số lượng cá thể trong quần thể đó được dự đoán là
A. 11220. B. 11020. C. 11260. D. 11180.
Câu 4. Một loài có bộ nhiễm sắc thể 2n = 20, Có 30 tế bào của loài này tham gia giảm phân hình thành giao tử đực thì ở kì sau của giảm phân II thống kê trong tổng số các tế bào con có bao nhiêu NST ở trạng thái đơn
A. 1200. B. 600. C. 2400. D. 1000.
Câu 5. Đột biến đảo đoạn NST có thể gây ra sự hỏng một gen nào đó trong trường hợp
A. vị trí đứt ở vùng liền kề một gen nào đó.
B. vị trí đứt ở giữa gen.
C. vị trí đứt không thuộc vùng mã hóa một gen nào đó.
D. vị trí đứt ở danh giới giữa hai gen.
Câu 6. Để chọn tạo các giống cây trồng lấy thân, lá, rễ có năng suất cao, trong chọn giống người ta thường sử dụng phương pháp gây đột biến
A. đa bội. B. mất đoạn. C. chuyển đoạn. D. lệch bội.
Câu 7. Một đột biến gen có thể gây ra biến đổi nucleotit ở bất kì vị trí nào trên gen. Nếu như đột biến xảy ra ở vùng điều hòa của gen thì gây nên hậu quả gì?
A. Khi đó cấu trúc sản phẩm của gen không thay đổi nhưng lượng sản phẩm của gen có thể thay đổi theo hướng tăng lên hoặc giảm xuống.
B. Khi đó lượng sản phẩm của gen sẽ tăng lên nhưng cấu trúc của gen chỉ thay đổi đôi chút do biến đổi chỉ xảy ra ở vùng điều hòa không liên quan đến vùng mã hóa của gen.
C. Khi đó lượng sản phẩm của gen sẽ giảm xuống do khả năng liên kết với ARN polymerase giảm xuống, nhưng cấu trúc sản phẩm của gen không thay đổi.
D. Khi đó cấu trúc sản phẩm của gen sẽ thay đổi kết quả thường là có hại vì nó phá vỡ mối quan hệ hài hòa giữa các gen trong kiểu gen và giữa cơ thể với môi trường.
Câu 8. Trong quá trình phát triển của sinh vật qua các đại địa chất, các diễn biến phân hóa cá xương. phát sinh lưỡng cư, côn trùng ở
A. kỉ Pecmi đại cổ sinh. B. kỉ Cambri đại cổ sinh.
C. kỉ Đêvon đại cổ sinh. D. kỉ Silua đại cổ sinh.
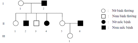
Câu 9. Cho sơ đồ phả hệ dưới đây, biết rằng alen a gây bệnh là lặn so với alen A không gây bệnh và không có đột biến xảy ra ở các cá thể trong phả hệ:

Kiểu gen của những người: I1, II1, II4, II5 và III1 lần lượt là:
A. aa, Aa, aa, Aa và Aa. B. XAXA, XAXa, XaXa, XAXA và XAXA.
C. Aa, Aa, aa, Aa và Aa. D. XAXA, XAXa, XaXa ,XAXa và XAXa.
Câu 10. Người ta nghiên cứu trên một cánh đồng lúa có diện tích 3000m2, dự đoán trên đó chỉ có 60 con chuột trưởng thành (30 con đực và 30 con cái). Mỗi năm chuột đẻ 4 lứa, mỗi lứa đẻ 9 con (giả sử tỉ lệ đực, cái phù hợp nhất cho sự sinh sản là 1:1). Giả sử trong thời gian nghiên cứu không có sự tử vong và sự phát tán. Sau một năm mật độ chuột tăng lên là
A. 20 lần. B. 18 lần. C. 18.5 lần. D. 19 lần.
Câu 11. Nhận xét nào dưới đây không phải là một quan sát hay suy luận trên cơ sở của chọn lọc tự nhiên?
A. Các loài sinh con cái nhiều hơn so với số lượng cá thể mà môi trường có thể nuôi dưỡng.
B. Ở một số loài chỉ một số lượng nhỏ cá thể con cái được sinh ra có thể sống sót.
C. Những cá thể nào có tính trạng thích nghi nhất với môi trường thường sinh ra nhiều con hơn so với những cá thể kém thích nghi với môi trường.
D. Những cá thể thích nghi kém không bao giờ sinh con cái
Câu 12. Sơ đồ sau minh họa cho các dạng đột biến cấu trúc nhiễm sắc thể nào?
(1): ABCD.EFGH --> ABGFE.DCH
(2): ABCD.EFGH --> AD.EFGBCH
A. (1): đảo đoạn chứa tâm động; (2): chuyển đoạn trong một nhiễm sắc thể.
B. (1): đảo đoạn chứa tâm động; (2): đảo đoạn không chứa tâm động.
C. (1): chuyển đoạn chứa tâm động; (2): đảo đoạn chứa tâm động.
D. (1): chuyển đoạn không chứa tâm động, (2): chuyển đoạn trong một nhiễm sắc thể.
Câu 13. Mẹ có kiểu gen XAXa, bố có kiểu gen XAY, con gái có kiểu gen XAXaXa. Cho biết quá trình giảm phân ở bố và mẹ không xảy ra đột biến gen và đột biến cấu trúc NST. Kết luận nào sau đây về quá trình giảm phân ở bố và mẹ là đúng?
A. Trong giảm phân II ở bố, cặp NST số 21 không phân li, ở mẹ giảm phân bình thường.
B. Trong giảm phân I ở mẹ, cặp NST số 21 không phân li, ở bố giảm phân bình thường.
C. Trong giảm phân II ở mẹ, cặp NST số 23 không phân li, ở bố giảm phân bình thường.
D. Trong giảm phân I ở bố, cặp NST số 23 không phân li, ở mẹ giảm phân bình thường.
Câu 14. Phát biểu nào sau đây không đúng đối với một lưới thức ăn trong quần xã?
A. Trong chuỗi thức ăn bắt đầu bằng sinh vật phân giải thì thực vật có sinh khối lớn nhất.
B. Quần xã có độ đa dạng càng cao thì lưới thức ăn càng phức tạp.
C. Khi một mắt xích trong lưới thức ăn bị biến động về số lượng cá thể, thông thường thì quần xã có khả năng tự điều chỉnh về trạng thái cân bằng.
D. Trong lưới thức ăn một loài sinh vật có thể tham gia nhiều chuỗi thức ăn.
Câu 15. Phát biểu nào sau đây là đúng về dòng năng lượng trong một hệ sinh thái?
A. Tạo thành dòng qua hệ sinh thái, mức độ tiêu hao ít dần qua các bậc dinh dưỡng.
B. Có thể được chuyển đổi từ dạng năng lượng này sang dạng năng lượng khác .
C. Ít phụ thuộc vào nguồn năng lượng mặt trời.
D. Tạo thành chu kì trong hệ sinh thái, được sử dụng lại liên tục.
Câu 16. Theo thuyết tiến hóa hiện đại chọn lọc tự nhiên đóng vai trò
A. tạo ra các kiểu gen thích nghi mà không đóng vai trò sàng lọc và giữ lại những cá thể có kiểu gen quy định kiểu hình thích nghi.
B. tạo ra các kiểu gen thích nghi từ đó tạo ra các cá thể có kiểu gen quy định kiểu hình thích nghi.
C. vừa giữ lại những cá thể có kiểu gen quy định kiểu hình thích nghi vừa tạo ra các kiểu gen thích nghi.
D. sàng lọc và giữ lại những cá thể có kiểu gen quy định kiểu hình thích nghi mà không tạo ra các kiểu gen thích nghi.
Câu 17. Trong kĩ thuật cấy gen, để có thể tách các gen mã hóa cho những protein nhất định các enzyme restrictaza (enzyme giới hạn) phải có tính năng sau:
A. Thúc đẩy quá trình tháo xoắn các phân tử ADN.
B. Lắp ghép các nucleotit theo nguyên tắc bổ sung.
C. Nhận ra và cắt đứt ADN ở những trình tự nucleotit xác định.
D. Nối các đầu nucleotit tự do lại với nhau bằng các liên kết hóa trị.
Câu 18. Các đột biến ở tế bào chất có thể nhanh bị mất đi vì
A. số lượng bào quan mang vật chất di truyền ở tế bào chất rất lớn và biến động. Khi xảy ra đột biến thì luôn có một cơ chế sửa chữa làm cho đột biến không biểu hiện ra kiểu hình.
B. số lượng bào quan mang vật chất di truyền ở tế bào chất rất lớn và biến động. Khi đột biến được phát sinh sẽ nhanh chóng được nhân lên thành nhiều bản sao. Do đột biến thường là có hại nên nó sẽ bị đào thải.
C. số lượng bào quan mang vật chất di truyền ở tế bào chất rất lớn và biến động. Khi xảy ra đột biến ở gen trong bào quan nào đó thì rất dễ được thay thế bằng các gen nằm ở các bào quan bình thường, cùng loại.
D. số lượng bào quan mang vật chất di truyền ở tế bào chất thường nhỏ và ít biến động vì vậy đột biến nào đó khi phát sinh sẽ không có cơ hội biểu hiện ra kiểu hình và bị loại bỏ bởi cơ chế sửa sai của tế bào.
Câu 19. Trong chọn giống, người ta sử dụng phương pháp giao phối cận huyết và tự thụ phấn chủ yếu để
A. thay đổi mức phản ứng của giống gốc. B. cải tiến giống có năng suất thấp.
C. kiểm tra kiểu gen của giống cần quan tâm. D. củng cố đặc tính tốt, tạo dòng thuần chủng.
Câu 20. Ở một loài động vật, xét 3 cặp nhiễm sắc thể thường và 1 cặp nhiễm sắc thể giới tính (XX hoặc XY). Quan sát quá trình giảm phân tại vùng chín ở một cá thể của loài trên có kiểu gen AaBbCcXdEXDe, người ta thấy 1/3 số tế bào sinh giao tử có hoán vị gen tạo ra các loại giao tử mới. Theo lý thuyết, cá thể này cần tối thiểu bao nhiêu tế bào sinh dục chín tham gia giảm phân để thu được số loại giao tử tối đa? Biết rằng mọi quá trình sinh học diễn ra bình thường.
A. 12 hoặc 1. B. 16 hoặc 12. C. 12 hoặc 16. D. 12 hoặc 32
Câu 21. Trong một cái ao, kiểu quan hệ có thể xảy ra giữa hai loài cá có ổ sinh thái trùng nhau nhiều là
A. ký sinh. B. ức chế cảm nhiễm. C. vật ăn thịt - con mồi. D. cạnh tranh.
Câu 22. Trong các dạng đột biến gen thì
A. đột biến gen trội có nhiều ý nghĩa hơn đối với quá trình tiến hóa vì nó biểu hiện ngay ra ngoài kiểu hình mà đột biến gen trội thường có lợi cho sinh vật vì vậy có thể nhanh chóng tạo ra những dạng thích nghi thay thế những dạng kém thích nghi.
B. đột biến gen trội có nhiều ý nghĩa đối với quá trình tiến hóa vì chỉ gen trội mới tạo ra kiểu hình thích nghi với điều kiện môi trường hiện tại vì vậy mà nó làm tăng giá trị thích nghi của quần thể trước sự thay đổi của điều kiện môi trường.
C. đột biến trội hay đột biến lặn đều có ý nghĩa như nhau đối với quá trình tiến hóa vì nó tạo ra alen mới làm phong phú vốn gen của quần thể là nguyên liệu sơ cấp cho quá trình tiến hóa.
D. đột biến gen lặn có nhiều ý nghĩa đối với quá trình tiến hóa vì khi nó tạo ra sẽ không biểu hiện ngay mà tồn tại ở trạng thái dị hợp, dù là đột biến có hại thì cũng không biểu hiện ngay ra kiểu hình vì vậy có nhiều cơ hội tồn tại và làm tăng sự đa dạng di truyền trong quần thể.
Câu 23. Biểu hiện nào sau đây không có nguyên nhân trực tiếp là do quan hệ cạnh tranh trong quần thể?
A. Ong chúa mới nở giết chết các cấu trùng chưa nở.
B. Cá mập non mới nở ăn các trứng chưa nở.
C. Con voi đầu đàn khi già yếu bị đuổi ra khỏi đàn.
D. Mức tử vong đột ngột tăng cao.
Câu 24. Một quần thể người gồm 20 000 người, có 4 nữ bị máu khó đông. Biết quần thể này ở trạng thái cân bằng, gen gây bệnh là gen lặn nằm trên NST giới tính X ở đoạn không tương đồng (tỷ lệ nam nữ 1:1). Số lượng nam giới trong quần thể bị máu khó đông là.
A. 400. B. 200. C. 250. D. 300.
Câu 25. Ở người, alen lặn m qui định khả năng tiết ra mùi thơm trong mồ hôi. Người có alen trội M không có khả năng tiết ra chất này. Một quần thể người đang ở trạng thái cân bằng di truyền có tần số alen M bằng 0,95. Xác suất để một cặp vợ chồng bất kì trong quần thể này sinh ra một người con gái có khả năng tiết chất mùi thơm nói trên là
A. 2,5.10-3. B. 0,9975. C. 1,25.10-3 D. 0,25.10-3.
Câu 26. Cho một hệ sinh thái rừng gồm các loài và nhóm loài sau: nấm, vi khuẩn, trăn, diều hâu, quạ, mối, kiến, chim gõ kiến, thằn lằn, sóc, chuột, cây gỗ lớn, cây bụi, cỏ nhỏ. Các loài nào sau đây có thể xếp vào bậc dinh dưỡng 2?
A. Kiến, thằn lằn, chim gõ kiến, diều hâu. B. Nấm, mối, sóc, chuột, kiến.
C. Chuột, quạ, trăn, diều hâu, vi khuẩn. D. Chuột, thằn lằn, trăn, diều hâu.
Câu 27. Tính trạng do gen trong ti thể quy định sẽ
A. thay đổi khi thay thế nhân tế bào bằng một nhân có cấu trúc di truyền khác vì hệ gen trong nhân là một phần hệ gen của ti thể.
B. thay đổi khi thay thế nhân tế bào bằng một nhân có cấu trúc di truyền khác vì luôn có sự tương tác giữa hệ gen trong nhân và hệ gen của ti thể.
C. thay đổi khi thay thế nhân tế bào bằng một nhân có cấu trúc di truyền khác vì hệ gen trong ti thể là một phần hệ gen trong nhân.
D. tồn tại khi thay thế nhân tế bào bằng một nhân có cấu trúc di truyền khác vì gen trong ti thể nằm ở tế bào chất của tế bào.
Câu 28. Cặp cấu trúc nào dưới đây là cơ quan tương tự?
A. Cánh của chim và cánh của côn trùng. B. Cánh của dơi và tay của người.
C. Ty thể của thực vật và ty thể của động vật. D. Não của mèo và não của chó.
Câu 29. Đơn vị sinh thái nào sau đây bao gồm cả nhân tố vô sinh và nhân tố hữu sinh?
A. Quần xã. B. Quần thể. C. Cá thể. D. Hệ sinh thái.
Câu 30. Ở sinh vật nhân sơ một nhóm gen cấu trúc có liên quan về chức năng thường được phân bố liền nhau thành từng cụm có chung một cơ chế điều hòa gọi là operon. Việc tồn tại operon có ý nghĩa
A. Giúp một quá trình chuyển hóa nào đó xảy ra nhanh hơn vì các sản phẩm của gen có liên quan về chức năng cùng được tạo ra đồng thời, tiết kiệm thời gian.
B. Giúp cho gen có thể đóng mở cùng lúc vì có cùng một vùng điều hòa vì vậy nếu như đột biến ở vùng điều hòa thì chỉ ảnh hưởng đến sự biểu hiện của một gen nào đó ở trong operon.
C. Giúp tạo ra nhiều hơn sản phẩm của gen vì nhiều gen phân bố thành cụm sẽ tăng cường lượng sản phẩm vì vậy đáp ứng tốt với sự thay đổi của điều kiện môi trường.
D. Giúp cho vùng promoter có thể liên kết dễ dàng hơn với ARN polymerase vì vậy mà gen trong operon có thể cảm ứng dễ dàng để thực hiện quá trình phiên mã tạo ra sản phẩm khi tế bào cần.
Câu 31. Phát biểu nào sau đây là đúng với tháp sinh thái?
A. Các loại tháp sinh thái không phải bao giờ cũng có đáy rộng, đỉnh hẹp.
B. Tháp số lượng luôn có dạng chuẩn.
C. Tháp sinh khối luôn luôn có dạng chuẩn.
D. Các loại tháp sinh thái đều có đáy rộng, đỉnh hẹp
Câu 32. Ở một loài thực vật, gen trội A quy định quả đỏ, alen lặn a quy định quả vàng. Một quần thể của loài trên ở trạng thái cân bằng di truyền có 75% số cây quả đỏ và 25% số cây quả vàng. Tần số tương đối của các alen A và a trong quần thể là
A. 0,6A và 0,4a. B. 0,2A và 0,8a. C. 0,5A và 0,5a. D. 0,4A và 0,6a.
Câu 33. Điều kiện nghiệm đúng định luật phân li của Mendel là
A. số lượng cá thể đem lai phải lớn. B. cá thể đem lai phải thuần chủng.
C. quá trình giảm phân xảy ra bình thường. D. tính trạng trội là trội hoàn toàn.
Câu 34. Cấu trúc xương của phần trên ở tay người và cánh dơi là rất giống nhau trong khi đó các xương tương ứng ở cá voi lại có hình dạng và tỷ lệ rất khác. Tuy nhiên, các số liệu di truyền chứng minh rằng tất cả ba loài sinh vật nói trên đều được phân li từ một tổ tiên chung trong cùng một thời điểm. Điều nào dưới đây là lời giải thích đúng nhất cho các số liệu này?
A. Cá voi xếp vào lớp thú là không đúng.
B. Các gen đột biến ở cá voi nhanh hơn so với người và dơi.
C. Sự tiến hóa của chi trước thích nghi với người và dơi nhưng chưa thích nghi với cá voi.
D. Do chọn lọc tự nhiên trong môi trường nước tác động tích lũy những biến đổi quan trọng trong giải phẫu chi trước của cá voi.
Câu 35. Các gen tiền ung thư có thể chuyển thành gen ung thư dẫn đến phát sinh ung thư. Nguyên nhân nào sau đây là phù hợp nhất đẻ giải thích cho sự xuất hiện của những "trái bom hẹn giờ tiềm ẩn" này trong tế bào sinh vật nhân thực?
A. Các tế bào tạo ra các gen tiền ung thư khi tuổi của cơ thể tăng lên.
B. Các gen tiền ung thư bắt nguồn từ sự lây nhiễm của virus.
C. Các gen tiền ung thư là dạng đột biến của các gen thường.
D. Các gen tiền ung thư bình thường có vai trò giúp điều hòa sự phân chia tế bào.
Câu 36. Ở một loài thực vật chỉ có 2 dạng màu hoa là đỏ và trắng. Trong phép lai phân tích một cây hoa màu đỏ đã thu được thế hệ lai phân li kiểu hình theo tỉ lệ: 3 cây hoa trắng : 1 cây hoa đỏ. Có thể kết luận, màu sắc hoa được quy định bởi
A. một cặp gen, di truyền theo quy luật liên kết với giới tính.
B. hai cặp gen không alen tương tác cộng gộp.
C. hai cặp gen liên kết hoàn toàn.
D. hai cặp gen không alen tương tác bổ trợ (bổ sung).
Câu 37. Chu trình sinh địa hóa là con đường tuần hoàn vật chất
A. trong nội bộ quần xã.
B. từ môi trường vào cơ thể sinh vật và trở lại môi trường.
C. giữa quần thể và sinh cảnh của nó.
D. giữa hệ sinh thái và môi trường.
Câu 38. Ở sinh vật nhân thực, vùng đầu mút của nhiễm sắc thể
A. có tác dụng bảo vệ các nhiễm sắc thể cũng như làm cho các nhiễm sắc thể không dính vào nhau.
B. là vị trí duy nhất có thể xảy ra trao đổi chéo trong giảm phân.
C. là những điểm mà tại đó phân tử ADN bắt đầu được nhân đôi.
D. là vị trí liên kết với thoi phân bào giúp nhiễm sắc thể di chuyển về các cực của tế bào.
Câu 39. Các trình tự ADN ở nhiều gen của người rất giống với các trình tự tương ứng ở tinh tinh. Giải thích đúng nhất cho quan sát này là
A. người và tinh tinh có chung tổ tiên tương đối gần.
B. tiến hóa hội tụ đã dẫn đến sự giống nhau về ADN.
C. tinh tinh được tiến hóa từ người.
D. người được tiến hóa từ tinh tinh.
Câu 40. Trong thực tế cơ thể tam bội thường bất thụ vì
A. các giao tử bất thường sẽ mất cân bằng hệ gen có khả năng thụ tinh bình thường sinh ra con chỉ có khả năng sinh sản sinh dưỡng.
B. trong quá trình giảm phân tạo ra giao tử đơn bội không thể thụ tinh với các loại giao tử khác.
C. không có sự tiếp hợp và trao đổi chéo trong giảm phân nên không tạo ra giao tử bình thường.
D. xác suất để tạo ra giao tử đơn bội của cơ thể tam bội là rất nhỏ nên xác suất để các giao tử bình thường kết hợp với nhau tạo ra hợp tử 2n lại nhỏ hơn nữa.
II. PHẦN RIÊNG [10 câu]
Thí sinh chỉ được làm một trong hai phần (phần A hoặc B)
A. Theo chương trình Chuẩn (10 câu, từ câu 41 đến câu 50)
Câu 41. Trong một hòn đảo biệt lập ở trạng thái cân bằng di truyền có 5800 người sống, trong đó có 2800 nam giới. Trong số này có 196 nam bị mù màu. Kiểu mù màu này do 1 alen lặn m nằm trên NST giới tính X không có alen tương ứng trên Y. Kiểu mù màu này không ảnh hưởng đến sự thích nghi của cá thể. Khả năng có ít nhất 1 phụ nữ của hòn đảo này bị mù màu xanh đỏ là bao nhiêu?
A. 1 - 0,99513000 B. (0,07 x 5800)3000
C. 0,073000 D. 3000 x 0,0056 x 0,99442999
Câu 42. Ở một loài thực vật có bộ nhiễm sắc thể lưỡng bội 2n = 28, nếu có đột biến lệch bội xảy ra thì
số loại thể tam nhiễm đơn có thể được tạo ra tối đa trong quần thể của loài là
A. 24. B. 48. C. 36. D. 14.
Câu 43. Quan sát quá trình tự nhân đôi ADN của vi khuẩn E. coli dưới kính hiển vi điện tử thấy vòng sao chép có 250 đoạn mồi (primer). Hỏi có tổng cộng bao nhiêu đoạn Okazaki trong vòng sao chép đó?
A. 252. B. 249. C. 248. D. 250.
Câu 44. Kiểu gen của cá chép không vảy là Aa, cá chép có vảy là aa. Kiểu gen AA làm trứng không nở. Tính theo lí thuyết, phép lai giữa các cá chép không vảy sẽ cho tỉ lệ kiểu hình ở đời con là
A. 3 cá chép không vảy : l cá chép có vảy. B. 2 cá chép không vảy : l cá chép có vảy.
C. l cá chép không vảy : 2 cá chép có vảy. D. 100% cá chép không vảy.
Câu 45. Bằng công nghệ tế bào thực vật, người ta có thể nuôi cấy các mẩu mô của một cơ thể thực vật rồi sau đó cho chúng tái sinh thành các cây. Bằng kĩ thuật chia cắt một phôi động vật thành nhiều phôi rồi cấy các phôi này vào tử cung của các con vật khác nhau cũng có thể tạo ra nhiều con vật quý hiếm. Đặc điểm chung của hai phương pháp này là
A. đều thao tác trên vật liệu di truyền là ADN và nhiễm sắc thể.
B. các cá thể tạo ra rất đa dạng về kiểu gen và kiểu hình.
C. đều tạo ra các cá thể có kiểu gen đồng nhất.
D. đều tạo ra các cá thể có kiểu gen thuần chủng.
Câu 46. Cho các nhân tố sau:
(1) Biến động di truyền.
(2) Đột biến.
(3) Giao phối không ngẫu nhiên.
(4) Giao phối ngẫu nhiên.
Các nhân tố có thể làm nghèo vốn gen của quần thể là:
A. (1), (2). B. (1), (4). C. (2), (4). D. (1), (3).
Câu 47. Cho 3 loại hình tháp sinh khối A, B, C (dưới đây) tương ứng với 3 quần xã I, II, III .

Hệ sinh thái bền vững nhất và kém bền vững nhất tương ứng là
A. III và II. B. III và I. C. II và III. D. I và III.
Câu 48. Trong một hệ sinh thái,
A. vật chất và năng lượng được truyền theo một chiều từ sinh vật sản xuất qua các bậc dinh dưỡng tới môi trường và không được tái sử dụng.
B. năng lượng được truyền theo một chiều từ sinh vật sản xuất qua các bậc dinh dưỡng tới môi trường và được sinh vật sản xuất tái sử dụng.
C. năng lượng được truyền theo một chiều từ sinh vật sản xuất qua các bậc dinh dưỡng tới môi trường và không được tái sử dụng.
D. vật chất và năng lượng được truyền theo một chiều từ sinh vật sản xuất qua các bậc dinh dưỡng tới môi trường và được sinh vật sản xuất tái sử dụng.
Câu 49. Một quần thể sinh vật ngẫu phối đang chịu tác động của chọn lọc tự nhiên có cấu trúc di truyền ở các thế hệ như sau:
P: 0,50AA + 0,30Aa + 0,20aa = 1.
F1: 0,45AA + 0,25Aa + 0,30aa = 1.
F2: 0,40AA + 0,20Aa + 0,40aa = 1.
F3: 0,30AA + 0,15Aa + 0,55aa = 1.
F4: 0,15AA + 0,10Aa + 0,75aa = 1.
Nhận xét nào sau đây là đúng về tác động của chọn lọc tự nhiên đối với quần thể này?
A. Chọn lọc tự nhiên đang loại bỏ những kiểu gen dị hợp và đồng hợp lặn.
B. Chọn lọc tự nhiên đang loại bỏ các kiểu gen đồng hợp và giữ lại những kiểu gen dị hợp.
C. Các cá thể mang kiểu hình lặn đang bị chọn lọc tự nhiên loại bỏ dần.
D. Các cá thể mang kiểu hình trội đang bị chọn lọc tự nhiên loại bỏ dần.
Câu 50. Cho một số hiện tượng sau :
(1) Ngựa vằn phân bố ở châu Phi nên không giao phối được với ngựa hoang phân bố ở Trung Á
(2) Cừu có thể giao phối với dê, có thụ tinh tạo thành hơp tử nhưng hợp tử bị chết ngay.
(3) Lừa giao phối với ngựa sinh ra con la không có khả năng sinh sản.
(4) Các cây khác loài có cấu tạo hoa khác nhau nên hạt phấn của loài cây này thường không thụ phấn cho hoa của các loài cây khác.
Những hiện tượng nào trên đây là biểu hiện của cách li sau hợp tử ?
A. (1), (4). B. (3), (4). C. (2), (3) D. (1), (2)
Download tài liệu để xem thêm chi tiết
Theo Nghị định 147/2024/ND-CP, bạn cần xác thực tài khoản trước khi sử dụng tính năng này. Chúng tôi sẽ gửi mã xác thực qua SMS hoặc Zalo tới số điện thoại mà bạn nhập dưới đây: