Hỗ trợ tư vấn
Tư vấn - Giải đáp - Hỗ trợ đặt tài liệu
Mua gói Pro để tải file trên Download.vn (không bao gồm tài liệu cao cấp) và trải nghiệm website không quảng cáo
Tìm hiểu thêm »Đề thi đáp án kỳ thi giải toán trên máy tính cầm tay cấp trường THPT Buôn Ma Thuột tỉnh Đăk Lăk năm học 2013 - 2014.
Dưới đây là một số đề thi được chúng tôi giới thiệu tới bạn đọc. Quý bạn đọc có thể tải file để xem chi tiết tất cả các môn.
SỞ GIÁO DỤC VÀ ĐÀO TẠO ĐẮK LẮK
|
KÌ THI GIẢI TOÁN TRÊN MÁY TÍNH CẦM TAY
|
Câu 1 (5 điểm).
1. Tính gần đúng giá trị nhỏ nhất, giá trị lớn nhất của hàm số y = 3x + 5cos2x trên đoạn [0; π]?
2. Tìm tổng của các hệ số của các số hạng chứa x5, x10 trong khai triển 
Câu 2 (5 điểm).
Cho hàm số y = x4 - 4x2 + 1. Tính chu vi tam giác tạo thành từ ba điểm cực trị của đồ thị hàm số.
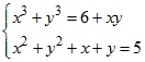
Câu 3 (5 điểm).
Tính gần đúng các nghiệm của hệ phương trình:
Câu 4 (5 điểm). Cho hai đường tròn (C): x2 + y2 - 2x - 2y - 4 = 0 và (C'): (x - 2)2 + y2 = 6
a) Tìm tọa độ giao điểm của (C) với (C')
b) Viết phương trình đường thẳng (d) đi qua các giao điểm của (C) và (C')
Bài 5:
Cho phương trình: x + log6(47 - 6x) = m (1)
a) Tìm các nghiệm gần đúng của phương trình khi m = 0,4287
b) Tìm giá trị nguyên lớn nhất của m để phương trình (1) có nghiệm
Câu 6 (5 điểm).
Có một cái cốc úp ngược như hình vẽ. Chiều cao của cốc là 20cm, bán kính đáy cốc là 3cm, bán kính miệng cốc là 4cm. Một con kiến đang đứng ở điểm A của miệng cốc dự định sẽ bò hai vòng quanh thân cốc để lên đến đáy cốc ở điểm B. Tính quãng đường ngắn nhất để con kiến có thể thực hiện được dự định của mình.

Bài 1: (5 điểm).
Phép lai giữa hai cá thể cùng loài có kiểu gen sau đây: P ♀ aaBbDdXMXm × ♂ AaBbDdXmY.
Các cặp gen quy định các tính trạng khác nhau nằm trên các cặp NST tương đồng khác nhau và các tính trạng trội hoàn toàn. Hãy cho biết:
a. Tỉ lệ đời con có kiểu gen AABBddXMXm
b. Tỉ lệ đời con có kiểu hình trội về tất cả 4 tính trạng trên.
c. Tỉ lệ đời con có kiểu hình lặn về tất cả 4 tính trạng trên
d. Tỉ lệ đời con có kiểu gen giống bố.
e. Tỉ lệ con đực có kiểu hình giống mẹ.
Bài 2: (5 điểm)
Ở người, tính trạng nhóm máu hệ ABO do một gen có 3 alen IA, IB, i quy định. Một quần thể người ở trạng thái cân bằng di truyền có 9% số người mang nhóm máu O; 27% số người mang nhóm máu B.
Một cặp vợ chồng đều có nhóm máu A sinh một người con. Xác suất để đứa con này mang nhóm máu giống bố mẹ là bao nhiêu?
Bài 3: (5 điểm)
Để xác định số lượng tế bào của một loài vi khuẩn trong bình nuôi cấy có dung tích 5,0 lít, người ta tiến hành pha loãng trong các ống nghiệm có chứa 9 ml nước cất vô trùng theo sơ đồ sau:

Trong ống nghiệm thứ 5, lấy ra 0,01 ml dung dịch rồi trải đều lên bề mặt môi trường dinh dưỡng đặc đựng trong đĩa petri. Kết quả trong đĩa petri có 50 khuẩn lạc phát triển.
a, Tính số lượng tế bào vi khuẩn có trong bình nuôi cấy trên?
b, Nếu cho biết mỗi tế bào vi khuẩn có khối lượng 2 × 10-11 gam/ tế bào thì khối lượng vi khuẩn trong bình nuôi cấy trên là bao nhiêu?
Bài 4: (5 điểm)
Ở một loài thực vật, cho biết gen A quy định thân cao là trội hoàn toàn so với gen a quy định thân thấp, gen B quy định hoa đỏ trội hoàn toàn so với gen b quy định hoa trắng. Cho lai giữa 2 thứ cây thuần chủng có tính trạng tương phản, thu được F1 đồng tính. Cho F1 tự thụ phấn, người ta thu được ở thế hệ F2 gồm 1800 cây trong đó có 432 cây thân cao, hoa trắng. Biết rằng quá trình giảm phân ở tế bào sinh phấn và sinh noãn của cây đều diễn ra giống nhau.
a, Xác định quy luật di truyền chi phối sự di truyền đồng thời các tính trạng, kiểu gen, kiểu hình của P và F1.
b, Tính số lượng các kiểu hình còn lại của F2
Bài 5: (5 điểm)
Một loài thực vật, khi cho giao phấn giữa cây quả dẹt với cây quả bầu dục (P), thu được F1 gồm toàn cây quả dẹt. Cho cây F1 lai với cây đồng hợp lặn về các cặp gen, thu được đời con có kiểu hình phân li theo tỉ lệ 1 cây quả dẹt : 2 cây quả tròn : 1 cây quả bầu dục. Cho cây F1 tự thụ phấn thu được F2.
a, Xác định tỉ lệ kiểu hình thu được của F2
b, Cho tất cả các cây quả tròn F2 giao phấn với nhau thu được F3. Lấy ngẫu nhiên một cây F3 đem trồng, theo lí thuyết, xác suất để cây này có kiểu hình quả bầu dục là bao nhiêu?
Bài 6: (5 điểm)
Một quần thể người đã ở trạng thái cân bằng di truyền có tần số người bị bệnh bạch tạng là 1/10.000.
a. Hãy tính tần số các alen và thành phần các kiểu gen của quần thể về bệnh này. Biết rằng, bệnh bạch tạng là do một gen lặn nằm trên NST thường quy định.
b. Tính xác suất để 2 người bình thường trong quần thể này kết hôn nhau sinh ra người con trai đầu lòng bị bệnh bạch tạng.
Download tài liệu để xem chi tiết.
Theo Nghị định 147/2024/ND-CP, bạn cần xác thực tài khoản trước khi sử dụng tính năng này. Chúng tôi sẽ gửi mã xác thực qua SMS hoặc Zalo tới số điện thoại mà bạn nhập dưới đây: